Логотип

Вязание на каждый день | Вязание . Рукоделие

Место, где люди любят вязать.

Реклама и сотрудничество : https://clck.ru/3QDNaU

Рукоделие, вязание, советы, лайфхаки, секреты вязания, вышивка, шитье, вязание крючком, вязание спицами, жаккард, мастер-класс , вязание спицами , вязание крючком , схемы вязания , хобби , шитье , рукоделие , вязанные вещи , хобби .
Подписчики
33490
За 24 часа
+11590
18:10 22-02-2026
Вывязывание планки двухцветной полой резинкой
🧶 Вязание на каждый день
16:06 22-02-2026
Жилет с косами спицами
🧶 Вязание на каждый день
15:06 22-02-2026
❗️Аптеки ненавидят этот канал. Здесь учат лечиться бесплатно

Николай Амосов — единственный академик, который не выписывал рецептов. Он выписывал... режим дня.

Представьте: кремлевские чиновники и звезды советского спорта шли к нему не за чудо-таблеткой, а за планом тренировок и питания. Амосов считал, что 80% болезней происходят от того, что человек обленился и перестал напрягаться.

Он умер в 89 лет, хотя врачи пророчили ему инфаркт в 50. Его метод РОН (Режим Ограничений и Нагрузок) до сих пор изучают в военных академиях, потому что он превращает "доходягу" в здорового мужика без единого укола.

В этом канале выкладывают его систему бесплатно:
✅ Как восстановить сердце после 60 — без статинов и химии.
✅ Упражнение "1000 движений": сжигает сахар в крови за 20 минут.
✅ Что есть, чтобы забыть про давление (меню от Амосова).

Хватит кормить фармацевтические корпорации.
Подпишитесь, пока ссылка активна:
⬇ ⬇ ⬇
Домашний Доктор
13:10 22-02-2026
Красивый узор спицами
🧶 Вязание на каждый день
10:05 22-02-2026
Джемпер ажурными ромбами
🧶 Вязание на каждый день
09:05 22-02-2026
В знак благодарности за вашу постоянную поддержку и внимание к нашему каналу мы дарим вам подарок!

ОТКРЫТКИ ДЛЯ НАСТРОЕНИЯ💌 — самая большая коллекция открыток и пожеланий на каждый день!

Этот канал поможет найти оригинальные поздравления и открыточки для родных и близких на любой случай случай💕

Приглашение для Вас действует 24 часа👇
https://max.ru/club224338491
07:10 22-02-2026
Рельефный узор «Пирамидки» спицами. Уровень сложности: низкий. Схема вязания в вашу копилочку
🧶 Вязание на каждый день
20:30 21-02-2026
Ажурный узор «Ушки» спицами. Уровень сложности: средний. Схема вязания в вашу копилочку
🧶 Вязание на каждый день
19:30 21-02-2026
Какая запись в трудовой книжке увеличивает пенсию

Владельцы трудовых книжек с большим стажем имеют право на перерасчет пенсий и их увеличение в два раза, достаточно найти определенную записью. Но есть и другая категория граждан, которая заслуженно может получить прибавку в 30%.

Пенсия увеличивается в два раза, если в трудовой книжке есть отметка читать продолжение...
18:10 21-02-2026
Шаль "Испанское барокко"
🧶 Вязание на каждый день
16:06 21-02-2026
Ажурный узор спицами
🧶 Вязание на каждый день
15:06 21-02-2026
‼️Перестаньте уродовать свои квартиры
Обои, линолеум, натяжной потолок - это прошлый век.

Профессиональные дизайнеры интерьеров создали канал где показывают современные решения как стильно и дешево обустроить даже крохотную студию

1000 прекрасных идей для вашей квартиры
👉 https://max.ru/tvoydiz
13:10 21-02-2026
"Гусиная лапка"

Одной из первых женщин, полюбивших этот принт и сделавших его популярным, была Коко Шанель. С 30-х годов XX столетия она начинает дополнять свои коллекции платьями и костюмами с этим узором.

Однако официально «гусиная лапка» попала в мир моды с подачи другого великого кутюрье. В 1948 году Кристиан Диор использовал шотландский орнамент для пошива некоторых моделей из своей весенне-летней коллекции Haute Couture.
🧶 Вязание на каждый день
10:05 21-02-2026
Как исправить ошибку в полупатентной резинке
🧶 Вязание на каждый день
09:05 21-02-2026
❗️Сталин не садился за стол, если готовили не по её рецептам

Оксана Симонова – заслуженный повар СССР. Из простых продуктов могла приготовить шедевр, а её салаты и выпечка заставляли облизываться всю верхушку советской власти

Могла за 17 минут накрыть стол на 6 человек, потратив сущие копейки, а теперь ей посвятили канал "Закусочка"

Там публикуют простые, но адски вкусные рецепты великого повара, с которыми родные сгрызут пальчики, в ожидании ваших блюд

Причём всё быстро и бюджетно, подписывайтесь: https://max.ru/zakuska_recepti
07:10 21-02-2026
Ажурный узор спицами. Уровень сложности: средний. Схема вязания в вашу копилочку
🧶 Вязание на каждый день
20:30 20-02-2026
Простой красивый узор спицами
🧶 Вязание на каждый день
19:30 20-02-2026
📍 Эти рецепты быстрые — от 5 до 30 минут на готовку

📍 Эти рецепты простые — ингредиенты есть в любом холодильнике

📍 Эти рецепты полезные — с ними точно не растолстеете

Это ЛЕНИВЫЕ РЕЦЕПТЫ – канал, который изменит ваш взгляд на собственную кухню.
18:10 20-02-2026
Кеттлевка с дополнительной контрастной нитью
🧶 Вязание на каждый день
16:06 20-02-2026
Зaйкa кpючкoм.
Не забудьте сохранить в свои копилочки, чтобы не потерять.
🧶 Вязание на каждый день
15:06 20-02-2026
Пост удален
13:10 20-02-2026
Ажурный узор спицами
🧶 Вязание на каждый день
10:05 20-02-2026
Удлиненный жилет волнистым узором
🧶 Вязание на каждый день
09:05 20-02-2026
Пост удален
07:10 20-02-2026
Красивый ажурный узор спицами. Уровень сложности: средний. Схема вязания в вашу копилочку
🧶 Вязание на каждый день
20:30 19-02-2026
Носки спицами
🧶 Вязание на каждый день
19:30 19-02-2026
Пост удален
18:10 19-02-2026
Очень красивый узор по несложной схеме
🧶 Вязание на каждый день
16:06 19-02-2026
Свитер
🧶 Вязание на каждый день
15:06 19-02-2026
Пост удален
13:10 19-02-2026
Жаккардовый узор спицами
🧶 Вязание на каждый день
10:05 19-02-2026
Топ с рукавами реглан (сверху вниз)
🧶 Вязание на каждый день
09:05 19-02-2026
Пост удален
07:10 19-02-2026
Красивый узор спицами
🧶 Вязание на каждый день
20:30 18-02-2026
Ажурная регланная линия

Этот способ подойдет только для изделий, в которых прибавки по регланным линиям делаются равномерно в каждом втором ряду

1 ряд: Смотрите видео в карусели.
2 ряд: При круговом вязании лицевыми петлями, при поворотном изнаночными.
Далее продолжаем вязать, чередуя 1 и 2 ряд раппорта.
🧶 Вязание на каждый день
19:30 18-02-2026
Пост удален
18:10 18-02-2026
Красивый ажурный узор спицами
🧶 Вязание на каждый день
16:06 18-02-2026
Кардиган без застежки
🧶 Вязание на каждый день
15:06 18-02-2026
Пост удален
13:10 18-02-2026
Ажурный узор спицами
🧶 Вязание на каждый день
10:05 18-02-2026
Шаль (бактус) ажурными листьями
🧶 Вязание на каждый день
09:05 18-02-2026
Пост удален
07:10 18-02-2026
Интересный узор спицами. Уровень сложности: средний. Схема вязания в вашу копилочку
🧶 Вязание на каждый день
00:30 18-02-2026
Пост удален
20:30 17-02-2026
Расчет набора петель для рукава
Как набрать петли на рукав, чтобы полотно не фалдило и не стягивало
🧶 Вязание на каждый день
19:30 17-02-2026
Пост удален
18:10 17-02-2026
Интересный ажурный узор спицами. Уровень сложности: высокий. Схема вязания в вашу копилочку
🧶 Вязание на каждый день
16:06 17-02-2026
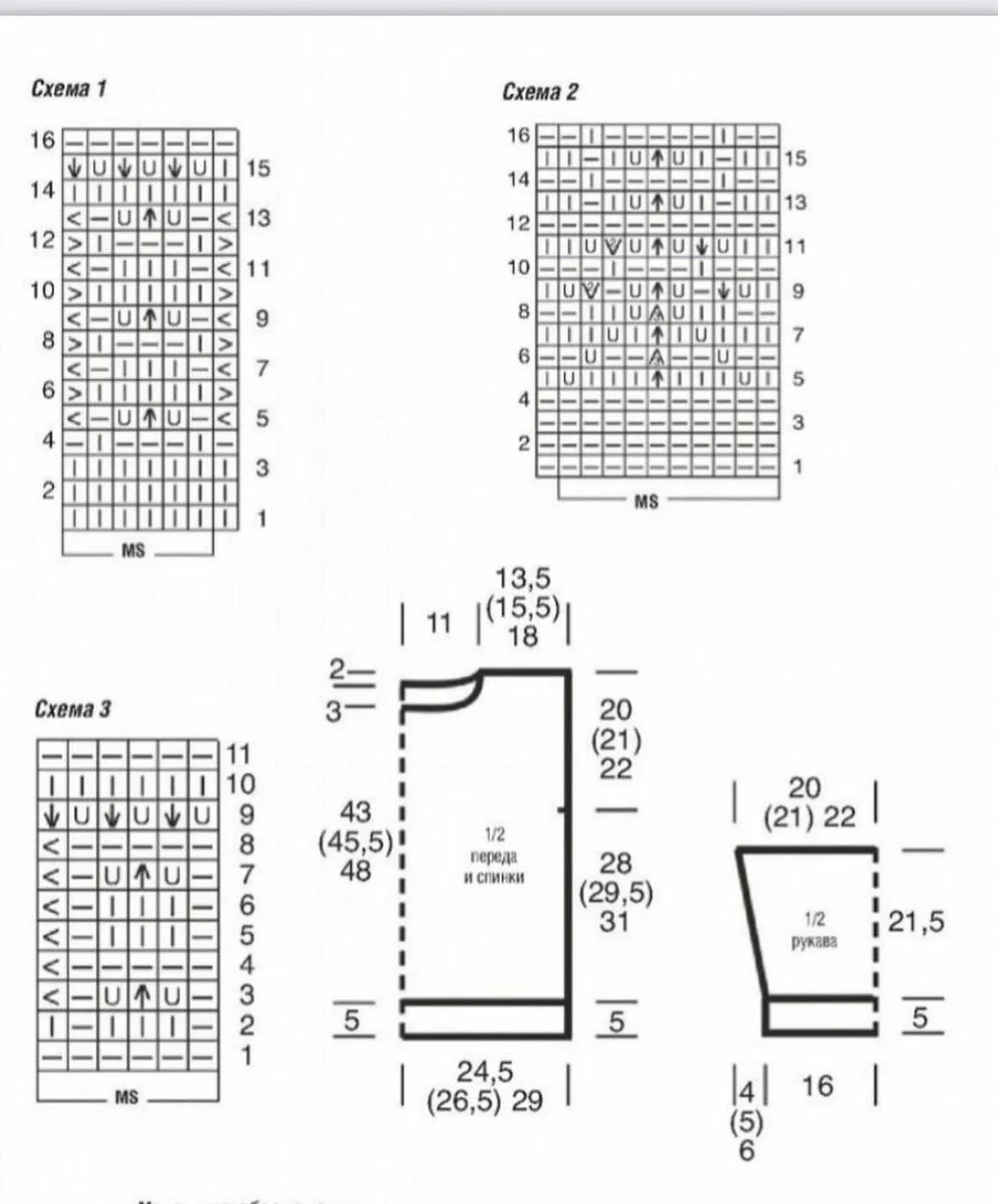
Комплект: ажурный кардиган и топ
🧶 Вязание на каждый день
15:06 17-02-2026
Пост удален
13:10 17-02-2026
Ажурный узор спицами
🧶 Вязание на каждый день