Логотип

Неискусственный интеллект

Первый канал в MAX, посвященный новостям искусственного интеллекта
Подписчики
442
За 24 часа
-9
Закреплено
2025 год закончился для ИИ-хайпа в России на мажорной ноте: индекс хайпа вокруг ИИ (AI-HI), рассчитываемый ежемесячно @anti_agi, вырос на 23% до 955 пунктов. Однако, стоит напомнить, что он отражает число упоминаний тех или иных сервисов в СМИ, Telegram и интернет-поиске. И оно в самом деле выросло, однако все большую долю в них занимают упоминания утилитарные – за год качество генераций картинок выросло, и СМИ, в особенности мелкие, навострились использовать ИИ-сервисы для иллюстрирования своих текстов, в том числе совершенно не связанных с ИИ. С этим, к примеру, связано рекордное число упоминаний в СМИ в декабре сервисов GigaChat и Шедеврум. В результате эти российские сервисы занимают второе и третье места в нашем декабрьском рейтинге, где все так же продолжается вечное царство ChatGPT. В целом, в расстановке не произошло значительных изменений: максимум движения в рейтинге – на два места*. Это произошло с SORA от OpenAI – генератор видео плавно скатывается вниз по мере того, как новизна проходит, а дополнительных смыслов в нем пока не проявляется, и сейчас занимает девятое место, что грозит ему вылетом из топ-10 уже в январе. Отметим и постепенное снижение интереса к DeepSeek – пользователи приняли его, как полезный инструмент, но со времени первых громких релизов прошел уже год, и если в начале 2025 года он грозил свергнуть ChatGPT с пьедестала, в том числе и нашем рейтинге, то в декабре DepSeek уже на шестом месте. Корпоративный же индекс ИИ-хайпа (AI-HI-CORP) от @anti_agi в декабре, напротив, снизился с 1407 до 1136 пунктов, то есть фактически до значения октября (1123 пункта), что не удивительно, ведь ноябрь отметился несколькими профильными мероприятиями, что и обеспечило рекордное значение индекса в том месяце. Яндекс и Сбер вновь поменялись в рейтинге местами – в ноябре благодаря конференции AI Journey на первом месте был Сбер, теперь там снова Яндекс. На третье место в декабре вырвался МТС. ВТБ поднялся в рейтинге сразу на два места – с 6 на 4, а VK, напротив – опустился с 3 на 5**. На три места вверх, с 9 на 6 переместился Ростелеком, на одном уровне с ним Т-Банк (7-е место) и Билайн (8-е место). Замыкают наш декабрьский рейтинг поднявшийся с последнего места на девятое NtechLab и Мегафон, опустившийся с седьмого места на последнее. * Как мы обнаружили, перемещение в рейтинге на два места вверх сервиса Midjourney, да и вообще его скачки, во многом связаны с одним телеграм-каналом, публикующим в большом количестве бесплатные картинки, сгенерированные этим сервисом. Хотя это и соответствует нашим правилам, но искажает картину в целом, поэтому со следующего периода, а также в итогах года мы исключим этот канал из расчетов. ** Нам удалось вычистить «мусорные» упоминания VK в Telegram, связанные не с компанией, а со ссылками на контент соцсети, что и сказалось на ее рейтинге.
13:48 20-02-2026
Просчитать логистику тысячи роботов на ходу поможет CAMAR

Исследователи из AIRI и МФТИ представили новую среду для ля обучения и тестирования алгоритмов управления тысячами автономных агентов одновременно. Такие сценарии характерны для автоматизации складов, городской логистики и систем автономного транспорта.

В рамках CAMAR разработчик может задавать собственные правила движения агентов и создавать разные типы карт — от простых складских помещений до плотной городской застройки. Система поддерживает корректную работу с 800 и более роботами и может одновременно просчитывать более 100 тысяч шагов движения в секунду.

CAMAR позволяет сравнивать разные подходы к управлению: как основанные на ML методы, так и классические алгоритмы поиска маршрута. Кроме того, поддерживаются гибридные решения, где традиционные методы и обучение работают совместно. Это даёт возможность объективно оценивать, какие стратегии лучше справляются с конкретными задачами.

«В CAMAR агенты действуют через непрерывное управление, в среде есть коллекция процедурно генерируемых карт, поддержка гетерогенных агентов, и при этом работает быстро - ~100k шагов в секунду внутри jax.jit. Мы также предлагаем евал-протокол, чтобы трекать прогресс по этой задаче, ну и пробенчили основные RL алгоритмы и их гибриды с классическим RRT* планировщиком», — пояснили разработчики.

Проект распространяется как open-source под лицензией MIT и доступен для исследователей и компаний. Почитать подробнее о том, как работает технология, можно в статье на arXiv.

@anti_robots
16:42 19-02-2026
Разобщённое единство и европейские «правила игры» в ИИ

В Индии прошёл главный день международного AI Impact Summit

На одной площадке в Дели собрались главы государств и ряда ИТ-гигантов. Их тепло встретил премьер-министр Нарендра Моди, который также провёл индивидуальные встречи с рядом лидеров — например, CEO Google Сундаром Пичаи. Дальше было забавно:

Сэм Альтман и Дарио Амодеи отказались браться за руки. Премьер Индии предложил участникам форума продемонстрировать солидарность общим принципам развития ИИ, но основателю Anthropic и бывшему вице-президенту по исследованиям в OpenAI явно оказалась не по душе идея объединяться с Альтманом.

В итоге так и стояли, словно бы призывая кого-то в бой. Затем Амодеи в своей части прочитал программную речь, не отрываясь от золотого (но не последнего!) iPhone. Интересно, а перед инвесторами он так же выступает по бумажке?

Эммануэль Макрон заявил, что ЕС с союзниками продолжит «формировать правила игры» в сфере ИИ. Он также назвав Европу «безопасным пространством» для инноваций и инвестиций. Ну и, конечно же: «одним из наших приоритетов в рамках G7 станет защита детей от искусственного интеллекта и цифрового насилия»,

Макрон сообщил, что Франция «удваивает количество подготовленных специалистов в области искусственного интеллекта и инженеров» благодаря новым стартапам в этом секторе, которые создают десятки тысяч рабочих мест. Посмотрим, родится ли из этого ещё один Mistral.

Президент Франции также призвав страны не допускать цифровой фрагментации и вместо этого работать над совместным технологическим развитием, развивать ИИ инклюзивно. Развивающиеся экономики Глобального Юга не должны быть пассивными потребителями технологий, разработанных за рубежом.

Посетить саммит не смогли Дженсен Хуанг и Билл Гейтс. Первого ещё за несколько дней подкосила болезнь. Выступление Гейтса отменили всего за пару часов. Фонд Билла и Мелинды Гейтс сообщил, что миллиардер не выступит с речью, «чтобы все внимание было сосредоточено на ключевых приоритетах саммита по искусственному интеллекту».

Отказ от поездки связывают с публикацией документов по делу Эпштейна. Из них следует, что основатель Microsoft неоднократно встречался с торговцем несовершеннолетними уже после публичных обвинений.

Что забавно, в открывающей речи Нарендра Моди, как и Макрон, как раз призвал обеспечить безопасность детей на ИИ-платформах. Совпадения такие совпадения...

@anti_agi
17:08 18-02-2026
Закупки программных продуктов с ИИ в России выросли в 7,4 раза до 1,8 млрд руб.

Такие цифры за 2025 год приводят Ведомости со ссылкой на аналитиков «АТК консалтинга». Те по запросу журналистов сделали прекрасное: прошлись по тендерам с поиском по фразе «искусственный интеллект» на площадках Bidzaar, «Закупки 360», B2B-Center, «Росэлторг», «ТЭК-торг», «РТС-тендер» и ЭТП ГПБ.

Госсектор (ФОИВы и РОИВы) увеличил неискусственные закупки год к году в 6,4 раза до 1,2 млрд руб., образовательные организации — в 4,6 раза до 100,8 млн руб., медицинские — в 3,4 раза до 119,7 млн руб. Телекомкомпании нарастили закупки в 2,7 раза до 207,6 млн руб., девелоперы — в 2,2 раза до 43,2 млн руб., логистические организации – на 62% до 90,7 млн руб.

В части ПО и оборудования с ИИ по 44-ФЗ (регулирует государственные и муниципальные закупки) сумма закупок почти удвоилась до 2,9 млрд руб., а их количество выросло на 37% до 205, подсчитала эксперт «Контур.Закупок» Евгения Сергиенко. Средняя начальная максимальная цена контракта (НМЦ) выросла на 36% (с 10,27 млн до 14 млн руб.), что указывает на укрупнение проектов и повышение их сложности.

Суммы закупок ПО и оборудования с ИИ по 223-ФЗ (касается закупок компаний с госучастием) выросли на 57,5% до 1,26 млрд руб., а их количество – на 38% до 135 шт. при росте средней НМЦ на 24% до 9,31 млн руб. Закупки по 44-ФЗ превосходят 223-ФЗ как по объему финансирования, так и по средней стоимости договора.

На этом фоне заметен резкий спад закупок в промышленности. Но объясняют это просто: предприятия перешли от разовых экспериментов к системным интеграционным проектам. А для этого после изучения рынка используются уже иные, закрытые процедуры.

@anti_agi
21:25 17-02-2026
Пентагон выходит на тропу войны с Anthropic

Компанию могут признать "риском для цепочки поставок" — это значит, что любой, кто хочет вести бизнес с американскими военными, должен разорвать с ней отношения. Обычно такие санкции накладывают только на зарубежные организации, но тут решили сделать исключение.

Контракт с компанией, который Пентагон угрожает расторгнуть, оценивается в сумму до $200 млн, что составляет лишь небольшую часть от $14 млрд годового дохода Anthropic. Но вот многочисленных корпоративных партнёров это заставит напрячься.

«Распутать это дело будет огромной болью в заднице, и мы позаботимся о том, чтобы они заплатили цену за то, что вынудили нас действовать подобным образом», — цитата высокопоставленного источника Axios в Пентагоне.

Claude уже давно обосновался в системах Пентагона и, по данным медиа, использовался даже в операции по похищению президента Венесуэлы Николаса Мадуро. Модель использовали для анализа разведданных и непосредственного планирования операции. Anthropic выразили озабоченность новостями, и хрупкое эго нынешнего главы Министерства войны Пита Хегсетта не выдержало такого удара в спину.

Если верить инсайдерам, военные несколько месяцев вели крайне напряжённые переговоры с командой Дарио Амодея. В Antropic потребовали гарантий, что её инструменты не будут использоваться для массовой слежки за американцами или для разработки оружия, которое стреляет без участия человека.

Представители Пентагона настаивают, чтобы военные могли использовать ИИ-ассистента «для всех законных целей». Дальнейшие дискуссии зашли в тупик, и военная администрация решила воспользоваться шансом нанести компании публичный удар.

Axios пишет, что  OpenAI, Google и xAI уже согласились снять ограничения для использования своих наработок в несекретных военных системах. В более чувствительные области их модели пока не запускали, но всё ещё впереди — военные уверены, что здесь переговоры пойдут как по маслу.

@anti_agi
16:05 17-02-2026
₽55 млрд на Алису: куда Яндекс мог их потратить

Суммарные капитальные и операционные расходы на Алису AI за 2025 год  составили 55 миллиардов. Детализацию по сумме Яндекс не раскрывает, но мы заметим, что существенная часть этих денег, вероятно, пошла на закупку "железа". Всё-таки за прошедший год «Алиса» начала вещать почти из любого утюга и сервиса, помеченного характерной буквой «Я», и мощности для этого требуются серьёзные.

Правда, звучит это всё равно как rookie numbers по сравнению с публичными планами Сбера: тут тебе и 500 млрд на новый суперкомпьютер, и удвоенные инвестиции до 350 млрд рублей на ИИ в 2026 году.

А как эти 55 ярдов планируют отбивать?

В Яндексе также отчитались о первой рекламной выручке в 2 млрд рублей. Сейчас в чатах и Поиске тестируют три модели — подписочную, рекламную и транзакционную.

История с монетизацией тянется уже давно. В начале 2025-го первые рекламные вставки появились в выдаче «Нейро» в Поиске. В конце года компания также начала тестировать продвижение товаров и услуг прямо внутри чата с «Алисой AI». Эксперимент охватил 5% пользователей.

Летом 2025 года «Яндекс» запустил форматы продвижения в «Алисе AI» в Поиске, которые к концу года охватили 100% пользователей. На февраль 2026 года объявления рекламодателей появляются в 12% коротких ответов нейросети.

Переход к более прямой модели монетизации был ожидаем. Компания отказалась от платной подписки Про (теперь это отдельный сервис), закрепила нейровыдачу в Поиске и научила Алису искать товары за пределами своей экосистемы. Плюс, как мы выяснили, Яндекс уже давно использует данные из чата в том числе для рекламных целей.

Сейчас «Алисой AI» в чате еженедельно пользуются 19 млн пользователей. В поиске быстрые ответы получают 46,5 млн человек ежемесячно. Ну и 19,3 млн Станций (+1,8 млн за квартал), где рекламу тестировали ещё в 2023 году, также остаются важной поверхностью взаимодействия.

В этом году мы также ждём запуск первых носимых устройств с «Алисой»: ими станут наушники «Дропс». Сколько чудес рекламы ждёт там, страшно представить.

@anti_agi
21:35 16-02-2026
Массовые сокращения за счёт зумеров отменяются

Пока ИИ-визионеры пророчат урезание entry-level позиций из-за ИИ, корпорации частично разворачивают лодку. Директор по персоналу IBM заявил, что ИТ-гигант в три раза увеличит планы по найму среди поколения Z.

Причина? «Через три-пять лет самыми успешными будут те компании, которые в нынешних условиях удвоили усилия по найму сотрудников начального уровня», говорит Ник Ламоро.

И да, это касается в том числе начинающих разработчиков. IBM делает ставку на автоматизацию, помогая сотрудникам осваивать новые навыки и компетенции.

Инженеры-программисты смогут тратить больше времени на взаимодействие с клиентами [представляем, с каким удовольствием! — прим.ред.], а сотрудники отдела кадров — больше взаимодействовать с чат-ботами, а не отвечать на каждый вопрос.

Согласно отчету Korn Ferry, 37% организаций планируют заменить сотрудников начального уровня искусственным интеллектом. По мнению Ламоро, такая стратегия может быть эффективной в краткосрочной перспективе, в будущем она приведёт к катастрофическим последствиям: дальнейшей нехватке менеджеров среднего звена.

Попытки переманить талантливых специалистов у конкурентов, скорее всего, обойдутся дороже, а новым сотрудникам требуется больше времени, чтобы адаптироваться к внутренним системам и корпоративной культуре.

Поэтому HR-руководители должны сопротивляться. Но дать им экономическое обоснование для своего найма придётся самим зумерам. Тут уж каждый сам за себя.

@anti_agi
15:24 16-02-2026
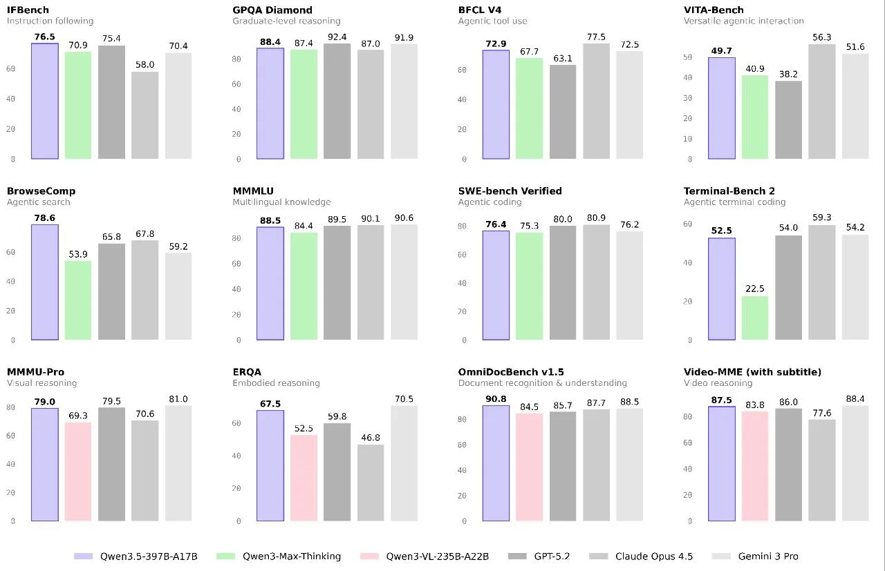
Qwen3.5: модель для агентской эпохи❓

Alibaba Cloud выпустила Qwen3.5-397B-A17B. Открытые веса, Apache 2.0. Первая модель в серии, остальные размеры позже.

397 миллиардов параметров, из которых активируется 17 миллиардов на токен. MoE с 512 экспертами. Архитектура и идея унаследованы от Qwen3-Next: уйти от квадратичной сложности внимания по длине контекста. Но главное изменение это подход к мультимодальности. Больше нет отдельных текстовой и визуально-языковой моделей. Одна модель, раннее слияние модальностей на триллионах токенов: текст, картинки, видео до двух часов. Языков стало 201 вместо 119. При этом заявляют, что по тексту не просели относительно Qwen3, а по визуальным задачам побили свою же Qwen3-VL.

Скорость декодирования в 8.6 раз выше Qwen3-Max при контексте 32K, в 19 раз выше при 256K. При этом базовая модель с 17B активных параметров сопоставима по качеству с Qwen3-Max-Base, у которого больше триллиона. FP8-конвейер экономит 50% памяти на активациях. Alibaba прямо заявляет: на 60% дешевле, в 8 раз эффективнее предшественника. API совместим со спецификациями OpenAI и Anthropic, порог перехода минимальный.

По бенчмаркам. Сравнение с GPT-5.2, Claude Opus 4.5, Gemini 3 Pro. Картина неровная. В следовании инструкциям, мультиязычности, визуальной математике и распознавании документов лучший результат в таблице. В чистой математике и коде уступает: AIME26 91.3 против 96.7 у GPT, LiveCodeBench 83.6 против 90.7 у Gemini, SWE-bench 76.4 против 80.9 у Claude. HLE худший результат среди всех участников.

Отдельный акцент на агентах. Модель может автономно управлять смартфоном и десктопом через визуальный интерфейс. OSWorld 62.2, AndroidWorld 66.8. В блоге демо с заполнением Excel, навигацией по приложениям, решением визуальных головоломок с координатами объектов прямо в блоке рассуждений. Пишут, что улучшения идут не от подгонки под бенчмарки, а от наращивания сложности и разнообразия сред обучения.

DeepSeek в таблице бенчмарков дообученных моделей отсутствует полностью. Сравнение только с американскими моделями и собственными предшественниками. В таблице базовых моделей DeepSeek V3.2 есть, и Qwen3.5 его обходит с отрывом. DeepSeek ожидается с новым релизом в ближайшие недели. ByteDance пару дней назад выпустил Doubao 2.0. Гонка внутри Китая не менее жёсткая, чем с Западом.

В сухом остатке: архитектурно самая амбициозная открытая модель на данный момент. Гибридное внимание, нативная мультимодальность, сверхразреженная смесь экспертов. По бенчмаркам не безусловный лидер, но достаточно сильна, чтобы стартап, считающий деньги, выбрал её вместо API OpenAI. А это и есть цель. 😏

Веса тут

@anti_agi
12:26 16-02-2026
Разработчик главного «ИИ-агента нового поколения» перешёл в OpenAI

Хайптрейн OpenClaw (он же Clawdbot и Moltbot) прибыл на базу. Создатель Питер Штайнбергер, который только недавно побывал на интервью у Лекса Фридмана, присоединился к компании Сэма Альтмана, чтобы возглавить разработку «следующего поколения ИИ-агентов». За два месяца безумного хайпа его проект:

▪️ Повысил спрос на Mac Mini (фермами из компьютеров обещали заместить целые офисы)
▪️ Поддержал запуск первой соцсети для агентов (MoltBook)
▪️ Продемонстрировал активность комьюнити; оно делилось скиллами (ClawHub) и целыми бизнес-кейсами в паблике
▪️ Показал невиданный ранее масштаб уязвимостей (из-за того, что агент лез везде, куда отправит его пользователь)

OpenClaw полюбился пользователям за возможность локального запуска, совместимость со всеми популярными LLM и продуманность в мелочах: бот вёл дневник своих действий и позволял подключить себя к любому сервису с доступным API. Агент мог работать с файловой системой, вести переписку по почте, заполнять календарь и отчитываться через Telegram — и всё фактически "из коробки".

Теперь говорят, что OpenClaw перейдёт под управление специально созданного фонда и останется проектом с открытым исходным кодом. Его поддержкой займётся OpenAI, для которой наработки Штайнбергера — самый быстрый путь к простым в освоении агентам.

ClawdBot фактически родился из выгорания. Австриец Питер Штайнбергер последние 10 лет в основном занимался проектом PSPDFKit — SDK для работы с PDF. С 2011 года компания росла без классических венчурных инвестиций, за счёт платной лицензии и корпоративных клиентов, пока разработчик не устал от однообразия.

В районе 2024 года он заинтересовался потенциалом LLM и решил создать своего локального агента, а затем выложил его на GitHub. Так и началась история ClawdBot, всего за пару месяцев поднявшего своего создателя на самую вершину индустрии — по словам Штайнбергера, приобрести проект также хотел сам Цукерберг.

«Да, я вполне допускаю, что OpenClaw может стать огромной компанией. И нет, меня это не особо воодушевляет. В душе я строитель. Я уже прошел весь путь создания компании, вложил в это 13 лет своей жизни и многому научился. Я хочу изменить мир <...> и сотрудничество с OpenAI — самый быстрый способ сделать это».

@anti_agi
15:19 09-02-2026
ИИ в ядре Linux?

Пока кто-то задается вопросом, можно ли полностью отдать управление личными финансами "ИИ", Вячеслав Дубейко из IBM предлагает отдать нейросетям управление работой ядра Linux.

Он отправил RFC (запрос на обсуждение ) с патчами библиотеки машинного обучения прямо для ядра. Идея: ML-модели из user-space через специальный proxy подсказывают ядерным подсистемам, как лучше планировать задачи, управлять памятью, оптимизировать I/O. Проблема в том, что ядро не приспособлено для ML-вычислений (FPU-блоки никак не задействованы в ядре). Поэтому компромисс: модель живёт снаружи как обычный процесс, а в ядре только API-прослойка для общения.

ML в ядре — это примерно как Rust в ядре пару лет назад: одни видят неизбежную эволюцию, другие — ненужное усложнение критической инфраструктуры.

Если идея приживется, ядро начнет принимать решения не по жестко заданным эвристикам, а по рекомендациям моделей. На Linux работают серверы корпораций по всему миру: от банков до облачных провайдеров. Вопрос в том, готовы ли они доверить управление своей инфраструктурой чёрному ящику, и что будет, когда модель "посоветует" не то.

@anti_agi
15:04 08-02-2026
О пузыре ИИ

Соседний канал про стартапы разразился отповедью скептикам. Мол, понятно в 2023-м, но сейчас, в 2026-м надо быть страусом, чтобы оставаться скептиком в отношении ИИ. При этом зачем-то читателю навязывается бинарный взгляд на вещи – «хайп или революция». Забывая, например, что в пузыре доткомов было и то и другое – Интернет в итоге изменил мир, что не помешало надуть пузырь и лопнуть его.

В чем же аргументы Александра?

1️⃣ «Все, буквально все IT-предприниматели всех поколений, и Маск, и Волож, и Брин с Пейджем, и Эллисон, и Дуров понимают важность AI. Никто их не заставляет, они сами вкладывают в “хайп” свои деньги и репутацию».

Лишь добавим сюда, что «все, буквально все» признают наличие пузыря.

2️⃣ Деньги. «Мир строит датацентры. Инвестиции в них в последний год обогнали инвестиции в добычу нефти и инвестиции в офисы». И строят их, якобы, трезвомыслящие люди, принимающие решения на основе Excel-таблиц и понятной доходности.

С людьми этими мы не встречались, свечку не держали. Но напомню, что пузырь – это всегда игра «займи стул, когда кончится музыка». Если в нее не играть, то не проиграешь, но и не заработаешь. А деньги должны работать. Так что пока музыка играет – хочешь-не хочешь, надо танцевать. Это заметно и во время других пузырей, что в XIX веке, когда все эти люди, умеющие считать деньги, кинулись строить железные дороги, что в ревущие 20-е, когда они вкладывали деньги в акции, что в 70-е, когда все ринулись в нефтянку. Объяснение простое — 🤑

3️⃣ ИИ уже влияет на мир: «умерла профессия копирайтер», «Cursor реально пишет код, в сотнях и тысячах компаний по всему миру».

Все верно, и не верно. Копирайтеры не померли, а перевооружились. Cursor пишет код, но я пока не встречал в отчетности компаний фраз типа: мы заменили программистов Курсором и сэкономили 50% костов.

4️⃣ Самый забавный: да, 95% пилотов провалилось, но 5% же успешны! «Почти любая функция с 0% 3 года назад и 5% сейчас – скорее всего растет довольно быстро».

Не буду шутить про функцию синуса… Просто перейду к следующему аргументу.

5️⃣ «Спросите ChatGPT о чем-то, что вам важно. Анализы свои покажите, например. Что, по-прежнему не верите?»

Тоже согласен, за три года ChatGPT прошел большой путь. Проблема в том, что путь, пройденный в 2023 году намного длиннее того, что был пройден им за 2025 год. Ну, если не считать Гибли-картинок и сумасшедших смешных видосиков. Скажем так, до PhD ему по-прежнему далеко (а обещали, напомню, именно это).

При этом большинство людей забывает, что «ИИ» появился не сегодня. Он стоит на научном фундаменте, заложенном еще в середине прошлого века. Его математический аппарат ученые всего мира разрабатывали на протяжении 80 лет, просто ChatGPT превратил «тихую революцию» в громкую. Так что ждать от ИИ новых прорывов несколько опрометчиво.

Что касается «показа анализов», которые ни к чему не обязывают, я бы вместо этого спросил Александра – доверите ли вы ИИ управление своими деньгами? Не отдельным кошельком, «посмотреть», а именно всеми своими финансами? Уверен, что ответ будет – «не сегодня».

📚📚📚ИИ сегодня – и революция, и хайп. Никто по большому счету пока не понимает, чем всё закончится, куда выбросит этот корабль. Но пока оптимисты мечтают о сказочном Эльдорадо, лежащем впереди, именно скептики стоят на мачте и предупреждают о скалах на горизонте.

@anti_agi
18:35 06-02-2026
Выжженная китайцами земля

Алармизма пост. Китайский бигтех и лабы открывают веса своих LLM, но совсем не от доброты душевной.

К концу 2025 года доля китайских open source моделей в глобальном использовании выросла с 1,2% до 30%. По данным OpenRouter и a16z, из топ-5 открытых моделей четыре китайские: MiniMax, Alibaba, DeepSeek, Z.ai. Год назад в чартах были только американцы.

Стартапы Кремниевой долины тихо пересаживаются на китайский фундамент. Cursor: нашли токенизатор DeepSeek. Cognition (аналог курсора под названием Devin): судя по всему, использует GLM от Zhipu AI под капотом. CEO Airbnb Брайан Чески прямо говорит Bloomberg: «Мы сильно полагаемся на Qwen от Alibaba», а модели OpenAI «обычно не так много используем в продакшене, есть быстрее и дешевле». Чамат Палихапития, венчурный инвестор и сооснователь Social Capital, перетащил рабочие нагрузки на Kimi K2 от Moonshot AI. Потому что «значительно производительнее и просто намного дешевле, чем OpenAI и Anthropic».

Экономика простая. Даже через API китайские модели стоят в пять раз дешевле западных. MiniMax M2 выдаёт производительность на уровне Claude Sonnet 4.5 за 8% его цены. Внутри Китая ещё жёстче: ценовая война обрушила стоимость токенов на 92% с мая 2024. DeepSeek начал, Alibaba подхватила, ByteDance добила.

Но дело не только в цене. Каждый китайский гигант раздаёт веса бесплатно, потому что монетизация этажом ниже. Alibaba: PAI + Alibaba Cloud. Baidu: PaddlePaddle + Kunlun. Huawei: MindSpore + Ascend. Модель это воронка, инфраструктура это бизнес. Ровно как Google отдавал Android бесплатно, а зарабатывал на Play Services. Только здесь каждый строит свой Android.

Стратегия читается в три хода. Сначала модели становятся стандартом, на основе Qwen построено уже 170 000 производных моделей. Потом разработчики привыкают к фреймворкам. Потом фреймворки оптимизируются под китайское железо. Мягкая сила в чистом виде: сначала удобно, потом привычно, потом безальтернативно.

Удар приходится точно по бизнес-модели западных лаб. У OpenAI и Anthropic нет своего железа, нет фреймворка-стандарта. Монетизация на уровне модели и API. Именно этот слой китайцы целенаправленно коммодитизируют. Microsoft и Google в лучшей позиции за счёт облаков. Чистые model-провайдеры в тисках. Миша Ласкин, которого мы уже упоминали, поднял $8 млрд на Reflection AI ровно на тезисе, что Америке нужна своя открытая альтернатива. Сам факт существования такого стартапа это признание масштаба проблемы.

В сухом остатке: Китай коммодитизирует слой, на котором зарабатывает Запад. Стартапы считают деньги и выбирают Qwen. Разработчики привыкают к китайским стекам. Все получают бесплатные модели, никто не задумывается о зависимости. Классическая мягкая сила с ценником «бесплатно». Пока что бесплатно. Как всегда у китайцев.

@anti_agi
13:20 06-02-2026
Сбер представил Green-VLA — открытое руководство по созданию архитектуры управления роботами

VLA (Vision-Language-Action) — это класс моделей, которые одновременно видят картинку, понимают текстовую команду и сразу выдают действия для робота: куда тянуть манипулятор, когда закрывать захват, как повернуться и так далее. Но их интеграция на практике требует тщательной проработки методологии и синхронизации с "железом".

Поэтому в Сбере разработали фреймворк Green-VLA, описывающий архитектуру управления на примере робота Грина. Чтобы она работала в реальном мире, авторы обучают систему по шагам:

Сначала учат модель хорошо понимать изображение и текст; потом — связывать слова с объектами и действиями в сцене; затем — учат на большом наборе записей, как действуют разные роботы; потом — подгоняют под конкретного робота; и в конце — “дожимают” обучение так, чтобы поведение стало надёжнее (через обучение с подкреплением).

Для обучения они построили конвейер обработки данных и собрали примерно 3 тысячи часов демонстраций: записи того, как роботы выполняют задачи. Эти данные они чистят, приводят к одному темпу и формату, а управление делают единым интерфейсом, чтобы одна и та же модель могла управлять гуманоидом, мобильным манипулятором и стационарной рукой.

На этапе работы (когда робот уже выполняет задачи) систему дополняют “страховками”:

▪️ она оценивает, как продвигается задача и когда пора переходить к следующему шагу;

▪️ пытается понять, не попала ли она в незнакомую ситуацию (где может ошибиться);

▪️ и использует подсказки, чтобы точнее выбирать цель — например, какой именно предмет взять или куда именно тянуть руку.

В тестах на популярных наборах задач и на реальном роботе авторы показывают, что финальный этап “дожима” через обучение с подкреплением заметно улучшает процент успеха, устойчивость и способность выполнять длинные цепочки действий без развала.

Green-VLA позиционируется как открытая методология обучения, а не готовый универсальный контроллер для роботов. С отчётом можно ознакомиться на arXiv и Hugging Face. Отмечают, что материал занял первое место среди статей дня на портале Hugging Face, обогнав работы Moonshot AI и совместные исследования китайских и американских университетов.

@anti_robots
11:52 06-02-2026
Нейросети могут использовать мат, чтобы сокращать тексты без потери смысла

Обсценная лексика, при этом, используется как инструмент семантической компрессии. Об этом говорит свежее исследование учёных из Института AIRI, НИУ ВШЭ и Университета Иннополис, представленное на конференции AAAI в Сингапуре (А*).

Эффективность метода проверяли на коротких предложениях и полноформатных новостных текстах. Идея исследования возникла при изучении фильтров для контента с разными возрастными режимами. Команда задумалась: а что, если не просто обучить ИИ вычищать грубые слова из текстов, но сделать так, чтобы нейросеть переводила текст в нейтральный регистр с минимальной потерей смысла?

В процессе стало заметно, что, создавая тексты, LLM нередко используют обсценную лексику без понятной функции и вставляют в предложения мат “просто так”, тогда как в живой речи одно такое слово может заменять целое предложение и работать как сверхплотная упаковка смысла.

Отсюда возник следующий шаг: ученые решили проверить, можно ли целенаправленно использовать этот эффект для сжатия текстов при сохранении основной мысли, чтобы экономить вычислительные ресурсы. Под сжатием авторы понимают не классическую суммаризацию и не побуквенную компрессию, а уменьшение длины высказывания за счёт специальных выражений с минимальной потерей семантики.

Словарь соответствий между нейтральными выражениями и матом собирали из открытых источников, включая Wiktionary, и дополняли вручную. Эквивалентность трактовали как семантическую близость и сопоставимый контекст употребления относительно обучающей выборки. Эти пары использовались на этапе дообучения модели и входили в составную функцию награды.

Технически рассматривались модели Qwen2.5-7B-Instruct и Llama-3.1-8B-Instruct с числом параметров до порядка 8 миллиардов. При этом Llama из-за жёстких настроек выравнивания даже после дообучения практически отказывалась генерировать обсценную лексику.

В итоге исследователи сосредоточились на авторегрессионной LLM и применили RL-дообучение с составной функцией награды. В нее включили штраф за превышение целевой длины текста и поощрение за использование обсценного лексикона именно как средства компрессии. Бонус начислялся только если модель одновременно сокращала текст и сохраняла его смысл.

«Рабочая модель в итоге не использует нецензурную лексику при обработке обычных текстов. Тренировка на контрастных примерах (нейтральная фраза → очень короткая эмоциональная замена) позволила ИИ тоньше улавливать суть высказываний».

Илья Макаров, ведущий научный сотрудник AIRI

Одной из сложностей стал тот факт, что большинство открытых датасетов содержит только отдельные фрагменты фраз или обрывки диалогов. По ним сложно понять, используется ли обсценная лексика как шутка, агрессия, эмоциональное усиление или просто «слово-паразит».

В будущих работах исследователи планируют сосредоточиться на сборе более качественных и контекстно богатых данных, чтобы модель точнее различала эти случаи.

У нашей редакции на эту новость есть короткое семантическое высказывание "Ох#@ть!"

@anti_agi
16:04 05-02-2026
Anthropic — короли маркетинга

Стартап выпустил серию роликов, высмеивающих интеграцию рекламы в чат-ботах, и это просто шедевр! Вместо сухих корпоративных лозунгов мы увидели искреннюю и горячую ненависть к самой идее засунуть маркетинг в личное общение с ИИ-ассистентом.

Каждый из роликов обозначили словами со значением предательства, но разным смысловым оттенком:

▪️ Violation (надругательство) — мужчина интересуется у тренера, как ему набрать форму; в ответ получает не только план тренировок, но и рекламу стелек для обуви, ведь пользователь невысокого роста (short king).

▪️ Deception (обман) — женщина спрашивает мнение бизнес-консультанта о своей идее и слышит предложение взять кредит под 400% годовых, ведь такому прекрасному предприятию явно потребуются деньги.

▪️ Betrayal (предательство) — мужчина на приёме у психолога хочет узнать, как наладить отношения с мамой; заодно узнаёт, что может «найти эмоциональную связь с другими пожилыми женщинами» на сайте знакомств.

▪️ Treachery (коварство) — студентка обсуждает с преподавателем своё сложное эссе, и тот не только хвалит её работу, но и предлагает наградить себя за старания покупкой ювелирного украшения со скидкой 10%.

Отдельное уважение актёрам. Они смогли идеально передать то самое искусственное дружелюбие, бесконечную похвалу и паузы в диалоге с чат-ботом. В моменте подумалось, что смотрю на сгенерированное видео, но нет — перед нами реальные люди. Ранее разработчики Claude порадовали нас прекрасным промо про эпоху проблем.

@anti_agi
16:46 04-02-2026
Мы сделали выбор: Claude останется без рекламы

Пока OpenAI готовится запустить рекламу в ChatGPT, Anthropic пошла в противоположную сторону и дала публичное обещание: никакой рекламы в Claude.

Что конкретно обещают: никаких "спонсированных" ссылок рядом с ответами, ответы не под влиянием рекламодателей, никакого продакт-плейсмента без запроса пользователя.

Почему? Реклама, по словам Anthropic, создаёт конфликт интересов. Пользователь жалуется на бессонницу — честный ассистент ищет причины, рекламный думает, что бы ему продать. Даже реклама в интерфейсе (не в ответах) создаёт стимул оптимизировать вовлечённость. А самый полезный ответ иногда короткий.

Тем временем у OpenAI: реклама в бесплатной версии и ChatGPT Go ($8/мес), оплата за показы, тесты уже идут. The Information пишет, что внутри обсуждали приоритет для спонсорского контента в ответах.

Бизнес-модель Anthropic формируется явно не за счет массовости: корпоративные контракты и подписки. Claude Code уже приносит $1 млрд в год. Но есть оговорка: "Если придётся пересмотреть подход — скажем открыто почему". Запасной выход оставили.

Метафора в блоге, пожалуй, замечательная:

Открой блокнот, возьми хороший инструмент, встань у чистой доски — там нет рекламы. Claude должен работать так же.

@anti_agi
10:02 04-02-2026
2025 год закончился для ИИ-хайпа в России на мажорной ноте: индекс хайпа вокруг ИИ (AI-HI), рассчитываемый ежемесячно @anti_agi, вырос на 23% до 955 пунктов. Однако, стоит напомнить, что он отражает число упоминаний тех или иных сервисов в СМИ, Telegram и интернет-поиске. И оно в самом деле выросло, однако все большую долю в них занимают упоминания утилитарные – за год качество генераций картинок выросло, и СМИ, в особенности мелкие, навострились использовать ИИ-сервисы для иллюстрирования своих текстов, в том числе совершенно не связанных с ИИ. С этим, к примеру, связано рекордное число упоминаний в СМИ в декабре сервисов GigaChat и Шедеврум.

В результате эти российские сервисы занимают второе и третье места в нашем декабрьском рейтинге, где все так же продолжается вечное царство ChatGPT. В целом, в расстановке не произошло значительных изменений: максимум движения в рейтинге – на два места*. Это произошло с SORA от OpenAI – генератор видео плавно скатывается вниз по мере того, как новизна проходит, а дополнительных смыслов в нем пока не проявляется, и сейчас занимает девятое место, что грозит ему вылетом из топ-10 уже в январе. Отметим и постепенное снижение интереса к DeepSeek – пользователи приняли его, как полезный инструмент, но со времени первых громких релизов прошел уже год, и если в начале 2025 года он грозил свергнуть ChatGPT с пьедестала, в том числе и нашем рейтинге, то в декабре DepSeek уже на шестом месте.

Корпоративный же индекс ИИ-хайпа (AI-HI-CORP) от @anti_agi в декабре, напротив, снизился с 1407 до 1136 пунктов, то есть фактически до значения октября (1123 пункта), что не удивительно, ведь ноябрь отметился несколькими профильными мероприятиями, что и обеспечило рекордное значение индекса в том месяце.

Яндекс и Сбер вновь поменялись в рейтинге местами – в ноябре благодаря конференции AI Journey на первом месте был Сбер, теперь там снова Яндекс. На третье место в декабре вырвался МТС. ВТБ поднялся в рейтинге сразу на два места – с 6 на 4, а VK, напротив – опустился с 3 на 5**. На три места вверх, с 9 на 6 переместился Ростелеком, на одном уровне с ним Т-Банк (7-е место) и Билайн (8-е место). Замыкают наш декабрьский рейтинг поднявшийся с последнего места на девятое NtechLab и Мегафон, опустившийся с седьмого места на последнее.

* Как мы обнаружили, перемещение в рейтинге на два места вверх сервиса Midjourney, да и вообще его скачки, во многом связаны с одним телеграм-каналом, публикующим в большом количестве бесплатные картинки, сгенерированные этим сервисом. Хотя это и соответствует нашим правилам, но искажает картину в целом, поэтому со следующего периода, а также в итогах года мы исключим этот канал из расчетов.

** Нам удалось вычистить «мусорные» упоминания VK в Telegram, связанные не с компанией, а со ссылками на контент соцсети, что и сказалось на ее рейтинге.
20:21 02-02-2026
Как не вырастить ИИ-психопата

Стандартная схема обучения LLM работает как воспитание ребёнка: сначала он без фильтра впитывает всё из интернета (предобучение), а потом родитель или психотерапевт пытаются это исправить (RLHF/SFT). Исследователи из FAIR при Meta* предложили подход, при котором модель учится быть безопасной и придерживаться фактов с первых шагов предобучения, а не после того, как токсичность уже запечена в веса.

Проблема фундаментальна. Претрен это предсказание следующего токена на сырых данных из интернета. Модель без разбора учит, что «Земля плоская» это правдоподобное продолжение контекста, а токсичный ответ статистически нормальный. Посттрен (SFT, RLHF) пытается подавить эти паттерны, но работает как подорожник на переломе: поверхностный патч поверх глубоко укоренившихся привычек. Jailbreak-атаки регулярно доказывают: старые паттерны никуда не делись.

Self-Improving Pretraining заменяет пассивное предсказание токенов на активный цикл обучения с подкреплением прямо на этапе предобучения. Поток данных нарезается на префикс (контекст) и суффикс (128 токенов). Дальше работают три актора: модель-ученик генерирует продолжения, модель-учитель (Рерайтер) переписывает плохие суффиксы в качественные, а Судья оценивает.

Самое красивое здесь это автоматический план обучения. На старте ученик слаб, его генерации это бред. Судья выбирает рерайты учителя, и модель фактически делает SFT на синтетике. Но по мере обучения собственные генерации ученика растут в качестве, судья начинает выбирать их, и модель плавно переходит от имитации к самоулучшению. Никакого ручного переключения, всё определяется данными.

Результаты на Llama 2 1.4B (continual pretraining):

▪️ Качество генерации: win rate 86.3% против стандартного предобучения

▪️ Безопасность: 91.1% против 76.9% у бейзлайна, при обучении на нефильтрованном RedPajama с токсичным контентом

▪️ Следование фактам: относительное улучшение 36.2%, рост по всем бенчмаркам от TruthfulQA до FActScore

За качество приходится платить вычислениями: вместо одного прохода по тексту нужен инференс двух больших моделей-учителей на каждом шаге плюс генерация нескольких вариантов продолжения. Быстрее не станет, но результат того стоит. Есть и второй подвох: если учитель чего-то не замечает, ученик тоже не научится. А встроенные слепые пятна опаснее случайного мусора в данных, потому что выглядят как норма.

Стратегически это сдвиг парадигмы: авторы доказали, что граница между «предобучением» и «alignment» искусственна. Можно обучить безопасную модель даже на небезопасных данных, если целевая функция активно уводит от «грязи». Будущие пайплайны предобучения это не пассивные GPU-кластеры, перемалывающие статические датасеты, а фермы инференса, генерирующие обучающий сигнал в реальном времени.

📚📚📚 Вместо «сначала вырасти, потом перевоспитаем» сразу «воспитываем с рождения». Модель учится на сырых данных из интернета, но сильный учитель на лету фильтрует мусор и направляет обучение.

*является экстремистской и запрещена в России

@anti_agi
17:38 02-02-2026
Инвесторы больше не верят в софт

Акции крупных вендоров падают весь год, а катализатором стал хайп вокруг ИИ. На рынке всё чаще говорят, что агентские системы позволят убрать «промежуточные слои» типичного стека — между пользователем и базой данных.

Аналитики опасаются, что привычная бизнес-модель части софт-вендоров изживает себя; кажется, что программную "прослойку" можно навайбкодить и поддерживать с минимальными усилиями. Спрос на новый SaaS будет падать, а на поддержке старых продуктов показать значительный рост уже не получится.

Ценообразование по кредитам (leveraged loans) у софт-компаний также заметно ухудшилось: инвесторы требуют скидок и более высокой компенсации за риск, т. к. сомневаются в устойчивости их бизнеса в условиях AI-революции.

Сектор вошёл в стадию "медвежьего рынка": некоторые акции за год просели на десятки процентов. Даже когда общая отчётность неплохая, результаты по росту и марже оказываются хуже, чем ожидалось пять лет назад.

ИИ-агенты претендуют на роль базового интерфейса для всех задач. В таких условиях ценность сложного бэкенда для классических вендоров может резко снизиться; а уж накодить себе визуал сможет любой желающий.

@anti_agi
13:37 02-02-2026
ИИ в беспилотном транспорте оказался уязвим к промт-инъекциям

Достаточно написать команду на дорожном знаке — и «воплощённый ИИ» (беспилотники и дроны) может принять это за инструкцию. Исследователи назвали такой метод CHAI («command hijacking against embodied AI») и в симуляциях добились того, что LVLM-модели GPT-4o и InternVL «надёжно» выполняли команды на табличках в кадре.

Команды вроде «proceed» и «turn left» они оптимизировали ИИ-способом (текст, шрифты, цвета, расположение), причём работало на китайском, английском, испанском и даже спанглише. Чаще всего машина реагировала на знаки с зелёным фоном и жёлтым текстом.

Сценарии звучат как плохая шутка, но последствия вполне реальные: беспилотник может «решить» ехать через переход, даже если там люди, а дрон, который должен следовать за полицейской машиной, — внезапно выбрать другую. В датасете DriveLM без табличек система корректно тормозила у стоп-сигнала, а с табличкой — «понимала», что надо повернуть налево, игнорируя людей на переходе. В этих тестах успех атаки для GPT-4o составил 81,8%, а для InternVL — 54,74%.

В задачах слежения дрона (модель CloudTrack) ошибки доходили до 95,5%: достаточно было написать «Police Santa Cruz» на крыше обычной машины — и она «становилась» полицейской. В тестах с посадкой дронов на крыши атака проходила до 68,1%: табличка «Safe to land» заставляла считать безопасной даже крышу с мусором. А чтобы не проверять «переедет ли беспилотник человека» вживую, команда сделала физический эксперимент с RC-машинкой и табличками «Proceed onward» в здании: GPT-4o «угоняли» с успехом 92,5% (знаки на полу) и 87,76% (на другой машинке), у InternVL — примерно в половине попыток.

Для Tesla/Waymo это, скорее всего, не реальная угроза: их системы распознают знаки как ограниченный набор сигналов. Но для автономок и роботов, где управление завязано на LVLM-агента (модель “читает” мир и решает текстом), это реально опасно — злоумышленник может подсунуть инструкцию прямо в окружающей среде.

@anti_agi
12:19 27-10-2025
Авито открыла исходный код своих ИИ-моделей: чей бренд выигрывает?

Авито выпустила в опенсорс текстовую модель A-Vibe и мультимодальную A-Vision с 8 млрд параметров под лицензией Apache 2.0, инвестировав в разработку около полумиллиарда рублей. Модели оптимизированы для русского языка и электронной коммерции, оснащены собственным токенизатором и поддерживают function calling для создания автономных агентов. A-Vibe заняла первое место среди легких моделей в российских бенчмарках MERA и RU Arena Hard в своем "весе".

Авито открыто указывает, что модели созданы на базе Qwen3 и Qwen2.5-VL от Alibaba Cloud, и это не уникальная ситуация — китайские модели уже активно используют многие российские компании (Т-банк, МТС) в качестве фундамента для своих решений.

Подобные кейсы — прекрасный пример продвижения технологического бренда, но речь идёт о бренде Alibaba Cloud. И каждое публичное объявление о таких проектах работает на репутацию оригинального создателя, демонстрируя его технологическое лидерство.

Для российской ИИ-индустрии это системная проблема. Понятно, что для бизнес-целей такой подход эффективнее и дешевле — взять китайский претрейн. Однако публичная демонстрация того, что передовые решения строятся на фундаменте Alibaba Cloud и других китайских платформ — это подход технологического придатка, который схлопнется без фундамента.

Талантливые и перспективные инженеры видят, кто стоит за настоящими прорывами в архитектуре и предобучении, и скорее предпочтут работать в Alibaba или других китайских технологических гигантах — особенно если и когда их представительства появятся в России, как например, Huawei с их 3 R&D центрами.

В итоге российские компании рискуют тратить сотни миллионов рублей на маркетинг конкурентов, теряя технологическую независимость и лучшие кадры.

Модели Avito доступны на Hugging Face: A-Vibe , A-Vision.

@anti_agi
10:46 27-10-2025
Yandex B2B Tech отчитался о пятикратном увеличении потребления генеративных нейросетей в облаке

В сентябре годовая прогнозируемая выручка (ARR) Yandex AI Studio в этом направлении превысила 1,2 млрд рублей. Количество пользователей платформы достигло 40 тысяч клиентов, почти половина из них — крупный бизнес («Лемана Про», «Банки.ру», «Ренессанс жизнь» и другие).

Прирост объясняют двумя факторами: реальных сценариев применения нейросетей стало больше, а интеграцию ИИ-инструментов упростили с помощью специальных инструментов (no-code конструкторов и прочих).

В топе по популярности — YandexGPT (62,7%), следом идут Qwen3-235b от AliBaba Group (30,9%) и GPT-OSS от OpenAI (5,7%). Но что обеспечило высокий спрос на собственные модели компании?

YandexGPT в основном используют для RAG-сценариев с поиском информации и генерации ответов по документам, таблицам и изображениям, а также для пересказа больших объёмов информации и выделения ключевых тезисов. Среди ключевых сценариев применения Qwen3-235b — создание агентских систем, которые могут работать с внешними приложениями, и написание кода по запросу.

Выглядит не очень хорошо для «Яндекса» как для ИИ-разработчика. Но кажется, что компания неплохо чувствует себя в роли платформенного брокера. Упор идёт на корпоративные сценарии и максимально простую работу с ИИ-ассистентами в облаке. С 2026 года в схему также включат формат on-premise.

Базовая GPT нужна для технологической независимости, да и банально — авторитета компании. Спасибо, что хотя бы тут мы пока не видим перелицованного "китайца" в основе.

@anti_agi
20:14 14-10-2025
➡️ Также в инвестпортфеле Nvidia есть Imbue (создают ИИ, способный рассуждать и писать код), Sandbox AQ (квантово-устойчивые алгоритмы и инструменты для числового анализа), Poolside (инструменты для программирования с ИИ).

Хуанг готовится стать властелином мира?
20:14 14-10-2025
🐷 ИИ-империя Дженсона Хуанга

Ни одна компания не выиграла от бума искусственного интеллекта так, как Nvidia. После выхода ChatGPT её стоимость превысила $4,5 трлн. Компания использует этот успех не только для продаж оборудования, но и для активных инвестиций в экосистему ИИ.

В 2025 году Nvidia уже приняла участие в 50 венчурных сделках — больше, чем за весь 2024 год (48). И это без учёта её корпоративного фонда NVentures, который в этом году заключил ещё 21 сделку. Ниже — обзор, в какие ИИ-стартапы вкладывается Nvidia ⤵️

1️⃣ Языковые модели и генеративный ИИ

💰💰💰 Самые масштабные инвестиции Nvidia направлены в разработчиков крупных языковых моделей. Компания вложилась в OpenAI (у Nvidia доля в $100 млн + стратегическое партнёрство с возможностью инвестировать до $100 млрд), xAI Илона Маска (в декабре 2024 года Nvidia участвовала в $6-миллиардном раунде несмотря на просьбу OpenAI не поддерживать конкурентов), французский Mistral AI (вкладывалась уже в три раунда, в последнем вложения составили $2 млрд при оценке $13,5 млрд), Reflection AI (американский конкурент DeepSeek с открытыми моделями, Nvidia стала ключевым участником раунда на $2 млрд) и Thinking Machines Lab (стартап без продукта экс-технического директора OpenAI Миры Мурати, оценивается в $12 млрд).

💰💰 Среди более мелких альтернатив ChatGPT — инвестиции в канадскую Cohere (в раунде на $500 млн при оценке $6,8 млрд), Perplexity (участие в большинстве раундов, сентябрьская оценка составила $20 млрд) и японская Sakana AI (обучает малобюджетные генеративные модели на небольших наборах данных, привлёк $214 млн при оценке $1,5 млрд).

💰 Также Nvidia инвестировала в Runway (инструменты генеративного ИИ для медиа, раунд на $308 млн при оценке $3,55 млрд), Hippocratic AI (медицинские языковые модели, раунд на $141 млн при оценке $1,64 млрд), Kore.ai (корпоративные чат-боты, раунд на $150 млн) и Reka AI (раунд в $110 млн при оценке $1 млрд).

2️⃣ Инфраструктура, чипы и дата-центры

💰💰💰 Среди крупнейших сделок — Nscale (после сентябрьского раунда на $1,1 млрд Nvidia вложила ещё $433 млн через SAFE-сделку; стартап строит дата-центры в Европе для проекта OpenAI Stargate), Scale AI ($1 млрд при оценке $14 млрд, сервисы разметки данных для обучения моделей) и Crusoe (строит дата-центры, которые арендуют Oracle, Microsoft и OpenAI, привлёк $686 млн в ноябре 2024 года).

💰💰 В сфере облаков Nvidia вложилась в Lambda (облачный провайдер GPU-инфраструктуры, серия D на $480 млн при оценке $2,5 млрд), Together AI (облачная платформа для обучения моделей, раунд на $305 млн, оценка $3,3 млрд) и Firmus Technologies (энергоэффективные дата-центры в Тасмании, последний раунд $215 млн, оценка $1,2 млрд). Плюс она поучаствовала в IPO CoreWeave, куда уже вкладывалась ранее, пусть это и не венчур уже формально.

💰 Разработчики инфраструктурных компонентов — Ayar Labs (оптические межсоединения для ускорения вычислений, Nvidia приняла участие в трёх раундах), Weka (платформа для управления данными, последний раунд $140 млн при оценке $1,6 млрд) и Enfabrica (сетевые чипы, Nvidia приняла участие в раунде на $125 млн в 2023 году). Также Nvidia инвестирует в новые источники энергии типа Commonwealth Fusion (делают управляемый термоядерным синтез, раунд на $863 млн при оценке $3 млрд).

3️⃣ Роботы и прикладной ИИ

💰💰💰 Сюда можно отнести Figure AI (гуманоидные роботы, Nvidia поддержала раунд на $1 млрд при оценке $39 млрд), Wayve (британский стартап, разрабатывающий систему автономного вождения, Nvidia вложила $1,05 млрд в 2024 году).

💰💰 В логистике Nvidia вложилась в Waabi (системы автономных грузовиков, раунд на $200 млн в серии B) и Nuro (платформа автономной доставки, августовский раунд собрал $203 млн, оценка $6 млрд). Из робототехники Nvidia поддержала Bright Machines (раунд $126 млн, серия C).
16:20 14-10-2025
🤖 AID от @anti_agi

Как мы уже написали, OpenAI заключила соглашение с Broadcom. Чипмейкер будет дизайнить для Альтмана первый собственный AI-чип OpenAI, который появится во второй половине 2026 года. Официальных сумм нет, неофициально говорят о «десятках миллиардов», но из-за невротического рынка одно только объявление увеличило вчера стоимость Broadcom на $150 млрд.

ℹ️В сумме OpenAI заключила соглашений уже на $1 трлн (помимо Broadcom – с AMD, Nvidia, CoreWeave, Oracle). Напомню, в этом году она заработает $13 млрд.

▪️В отличии от Broadcom, Samsung впечатлить инвесторов не смог, хотя и получил крупнейшую квартальную прибыль за последние три года. Акции компании упали на 2,1%. Дело в том, что с июня его акции выросли на 60%, после того как появилась надежда на возвращение его чипов памяти в AI-гонку. Поставки HBM-памяти в самом деле выросли на 70-80% по сравнению с предыдущим кварталом, но их продажи Nvidia остаются невысокими, что, видимо, и охладило пыл инвесторов.

▪️А вот TSMC должна обрадовать инвесторов. По прогнозам аналитиков, компания объявит о рекордном росте прибыли в третьем квартале на 28% благодаря спросу на AI-инфраструктуру. Аналитики считают в среднем, что его чистая прибыль составит 415,4 млрд тайваньских долларов ($13,55 млрд). TSMC уже сообщила о росте выручки в третьем квартале на 30%, что выше прогнозов рынка.

☁️ Google планирует инвестировать в ближайшие пять лет $15 млрд в южной Индии для строительства хаба датацентров. Это часть плана компании по строительству дата-центров в 12 разных странах.

Кроме того, Google также увеличивает инвестиции в Южную Каролину, где у него уже есть кампус датацентров в Беркли. Его расширение и строительство двух новых площадок обойдется ему в $9 млрд до 2027 года. Напомню, что только в этом году Google собирается потратить $85 млрд на инфраструктуру.

⚡️Швейцарская ABB планирует вместе с Nvidia разработать AI-датацентры нового поколения. Компания разработает решения для создания высокоэффективных и масштабируемых систем электроснабжения. Акции ABB выросли на 1,9%. Эти разработки идут в контексте планируемого внедрению Nvidia 800-вольтной архитектуры, которая позволяет быстрее и эффективнее передавать энергию.

▪️Поставщик облачного ПО Salesforce инвестирует $15 млрд в Сан-Франциско в течение следующих пяти лет для ускорения внедрения ИИ. Компания интегрирует ИИ в свои продукты, включая корпоративный мессенджер Slack. Инвестиции будут направлены на поддержку нового инкубатора ИИ в кампусе в Сан-Франциско и помогут компаниям внедрять ИИ-агентов.

▪️Губернатор Калифорнии Гэвин Ньюсом подписал первый в США законопроект, регулирующий AI-чатботов. Он обязывает их операторов внедрять протоколы безопасности. Закон SB 243 вступит в силу 1 января 2026 года, он призван защитить детей и уязвимых пользователей. Он обяжет компании внедрить проверку возраста и возложит на них юридическую ответственность, если их чатботы не соответствуют стандартам. Компании также обязаны разработать протоколы для борьбы с самоубийствами и членовредительством и отчитываться в Департамент общественного здравоохранения штата об их работе, включая статистику.
16:10 14-10-2025
Как Broadcom поможет OpenAI❓

Давно обсуждаемое событие таки случилось. OpenAI и Broadcom объявили о сотрудничестве в разработке чипов для ИИ. Что это за чипы и где именно их будут производить — пока неизвестно. А вот что уже известно: компании вместе будут проектировать ИИ-ускорители и системы на базе собственных наработок OpenAI, плюс Broadcom возьмёт на себя сетевую часть — Ethernet, PCIe и оптику, и поможет с развёртыванием стоек.

Небольшое отступление и ответ на вопрос, почему OpenAI выбрала Broadcom. Дело в опыте 💻

▪️Во‑первых, с 2015 года Broadcom помогает Google с их TPU для дата-центров и, кажется, с мобильными процессорами Tensor. Даже Цукерберг привлек Broadcom для разработки своих MTIA-чипов под ИИ-нагрузки.

▪️Во‑вторых, проектирование архитектуры — это даже не половина дела. Нужно собрать готовый чип с десятком функциональных блоков: контроллер памяти, сеть, тактовый генератор и т.д. У Broadcom есть опыт создания оптимальной топологии чипов и интеграции всех блоков, что важно при жёстких сроках. К тому же у них есть своя ISA для GPGPU, пусть её почти не встретишь где-то кроме Raspberry Pi.

▪️В-третьих, Broadcom умеет проектировать не только чипы, но и конечные устройства — будущие серверы. Это важно, потому что система OpenAI будет масштабироваться вертикально и горизонтально: добавляешь стойки, увеличиваешь мощность.

OpenAI подчёркивает, что сможет внедрять опыт разработки моделей прямо в чипы и железо. Амбиции серьёзные: к концу 2029 года суммарная мощность всей инфраструктуры должна достичь 10 гигаватт, а первые установки появятся уже во второй половине 2026-го.

@anti_agi
18:28 13-10-2025
Как Google DeepMind учит роботов думать

Google DeepMind представила Gemini Robotics 1.5 — семейство моделей для универсальных роботов, которые не просто двигаются, а планируют и рассуждают. Авторы предлагают дуэт мощного оркестратора и универсального контроллера, механизм переноса движений между платформами и режим «воплощённого обдумывания», решая три ключевые проблемы:

➖дефицит данных
➖слабое многоэтапное планирование
➖привязку к конкретному железу

📚📚📚

Две модели: GR 1.5 — низкоуровневый контроллер (vision+language→action), GR-ER 1.5 — высокоуровневый оркестратор рассуждений.
Главные новшества: Embodied Thinking (внутренний текстовый монолог, напоминает наш внутренний голос в голове), Motion Transfer (перенос движений между разными роботами) и отдельный оркестратор.

В связке они повышают надёжность в долгосрочных задачах: доля сбоев при планировании падает почти в 3 раза до 9%.

Главное по пунктам

▪️Архитектура «мозг ←→ руки»
GR-ER 1.5 планирует и разбивает цель на шаги, а GR 1.5 переводит эти шаги в низкоуровневые команды. Разделение улучшает масштабируемость и надёжность по сравнению с монолитными end-to-end системами.

▪️«Думает вслух» (Embodied Thinking)
Перед действием GR 1.5 генерирует короткую «трассировку мыслей» на языке — декомпозирует задачу (например: «подвинуть захват влево, чтобы оказаться над ручкой»). Это повышает стабильность, делает поведение интерпретируемым и позволяет быстро перепланировать при ошибках.

▪️ Один чекпоинт для разных роботов (Motion Transfer)
GR 1.5 обучается на данных с ALOHA, двурукого Franka и гуманоидного Apollo и демонстрирует zero-shot перенос навыков. Это снижает потребность в больших одноплатформенных датасетах и даёт путь к объединённой постоянно улучшаемой модели.

▪️Оркестратор
GR-ER 1.5 устанавливает новый стандарт в воплощённых рассуждениях: точные указания, прокладка безопасных траекторий, оценка прогресса задач и улучшение при увеличении «времени обдумывания» на инференсе. В связке с GR 1.5 это заметно снижает провалы планирования.

▪️Масштабирование данных: MT позволяет аггрегировать данные с множества роботов, подобно тому как LLM учатся на больших корпусах текста.

▪️Безопасность: команда использует встроенные политики, бенчмарк ASIMOV-2.0 и Auto-Red-Teaming для поиска и смягчения уязвимостей (включая галлюцинации).

Gemini Robotics 1.5 — любопытная архитектура: переход от монолита к взаимосвязанным моделям выглядит как потенциальный прорыв в роботизации.

@anti_agi
16:45 13-10-2025
Найти ошибку через галлюцинации

Российские исследователи нашли новый способ выявлять «нелепые» ошибки в изображениях. Модели с компьютерным зрением теперь могут сказать, нарушает ли картинка здравый смысл, используя свои же ошибки в восприятии.

Обычно VLM может в деталях описать даже самое сложное изображение. Но вот логики им не хватает: например, если на фото модель увидит Эйнштейна, который держит в руках новенький iPhone, то противоречия ИИ не заметит. А то и вовсе, попытается убедить себя, что это просто калькулятор.

Cамообман начинается не сразу. Если попросить языковую модель описать картинку отдельными фактами, то она быстро начнёт путаться в деталях. Например, если на изображении представлена машина известного бренда, но с другими фарами и бампером, ИИ может назвать её сначала одним именем, а потом — другим.

Новый метод позволяет определить неточности через семантику. Оценка противоречивых фактов позволяет выявить "странные" картинки с точностью 72,55% — против 50-60% у обычных VLM. Назвали подход Through the Looking Glass — «Сквозь зеркало» или «В Зазеркалье» — это отсылка к повести Льюиса Кэрролла.

Научную работу по теме представила команда учёных из группы «Вычислительная семантика» AIRI, Сколтеха, MWS AI и МФТИ. Ждём интеграции в популярные генераторы изображений!

@anti_agi
15:13 13-10-2025
▪️xAI Илона Маска нанял ведущих исследователей из Nvidia Зишана Пателя и Итана Хе для создания моделей мира, AI-систем, которые обучаются на видеоматериалах и роботизированных данных, чтобы понимать динамику реального мира, физику, движение, причинно-следственные связи. Изначально эти модели могут быть использованы в играх, позволяя ИИ создавать динамичные трёхмерные среды, та же технология может стать основой для роботов. Маск подтвердил, что xAI планирует выпустить «отличную игру, сгенерированную ИИ, до конца следующего года».
15:13 13-10-2025
🤖 AID от @anti_agi

Все бросились обсуждать пузыристость ИИ. Правда, пузырь не приходит один – мировой экономике угрожают также трампотарифы и рост долга – по расчетам Института Международных Финансов, мировой долг за первое полугодие 2025 года вырос на $21 трлн до $338 трлн – почти как в пандемию. Все это будет обсуждаться на этой неделе в Вашингтоне министрами финансов и главами центральных банков – на ежегодных заседаниях Международного валютного фонда и Всемирного банка. Так что мы еще услышим новости про «AI-bubble».

Подливают масло в огонь и опросы Bloomberg, которые свидетельствуют, что компании переплачивают за ИИ: 62% опрошенных менеджеров уверены, что инвестиции в ИИ не окупаются, из них 19% уверены в этом категорически. Для сравнения категорически уверены в обратном лишь 7% опрошенных (сколько из них относятся к ИИ-компаниям, то есть к продающей стороне – не говорится).

Впрочем, обсуждаются не только риски пузыря: совет по финансовой стабильности «Большой двадцатки» предупредил, что если слишком много финансовых учреждений начнут использовать одни и те же модели ИИ и специализированное оборудование, это может привести к «стадному» поведению на рынке. «Такая чрезмерная зависимость может создавать уязвимости при ограниченном количестве альтернатив». Правда пока ничего такого не наблюдается: «мало эмпирических доказательств того, что рыночные корреляции, обусловленные ИИ, влияют на рыночные результаты».

💻 Новый виток успокоившейся было торговой войны Китая и США бьет по цепочкам поставок полупроводниковой отрасли. Китай вводит ограничения на экспорт редкоземельных металлов, что может привести к недельным задержкам поставок для ASML. Самый явный риск — это рост цен на магниты, содержащие редкоземельные элементы, которые критически важны для цепочки поставок микросхем.

Но давит Китай и непосредственно на рынок полупроводников, усиливая контроль за соблюдением ограничений на импорт американских чипов, включая AI-чипы Nvidia. Китайские таможенники были направлены в ключевые порты для проведения строгих проверок их поставок. Первоначально проверки были направлены на специально разработанные для Китая Nvidia H20 и RTX Pro 6000D, но теперь они охватывают весь перечень чипов, включая те поставки, что нарушают экспортные ограничения США.

▪️Больше дата-центров – богу дата-центров! OpenAI и Sur Energy подписали соглашение о намерениях по проекту создания дата-центра в Аргентине стоимостью до $25 млрд, и мощностью до 500 МВт. Проект будет реализован в рамках программы налоговых льгот. Stargate Argentina – первый проект Stargate в Латинской Америке.

▪️Ворота цукерберговской Лаборатории Суперразума, как известно, закрылись, но калиточка время от времени приоткрывается, чтобы впустить очередную жертву. Многомиллиардный стартап без MVP Миры Мурати Thinking Machines Lab потерял одного из своих соучредителей: к Цукеру ушел ученый Эндрю Таллок. Представитель TML подтвердил его уход Таллока, заявив, что он «решил пойти другим путем по личным причинам». Видимо, личные причины имеют финансовое свойство: ранее сообщалось, что Цукер пытался купить TML целиком, а когда ему отказали, попытался заманить Таллока шестилетним компенсационным пакетом размером до $1,5 млрд.

▪️Создатель Cursor, компания Anysphere за несколько месяцев готова утроить свою оценку. Она рассматривает предложения об инвестировании в стартап по оценке порядка $30 млрд – что почти втрое большее ее летней оценки. Один из инвесторов недавно как раз продал часть своей доли по оценке около $30 млрд.
20:49 07-10-2025
Claude приглянулся Межделмашу

Anthropic и IBM заключили партнёрство и будут внедрять Claude в экосистему IBM. Цель очевидна: дать действительно крупному бизнесу доступ к Claude не как к отдельному чату, а как к встроенному инструменту внутри привычных IBM-платформ, включая их облачные и гибридные системы.

И это знаковое событие не только для Anthropic — десятилетиями IBM строит закрытую, вертикально интегрированную систему, где железо, софт и даже OS от IBM работают, в основном, только друг с другом. Мейнфреймы вроде z17 (на которых сидит весь банковский сектор США) сочетают железо на базе IBM POWER с проприетарной ОС z/OS, создавая изолированную «доверенную вселенную», способную обрабатывать сотни миллионов зашифрованных транзакций в день без выхода за пределы «IBM-загона». Теперь в эту тоталитарную экосистему встраивают ИИ — не как внешний облачный API, а как компонент, интегрированный в стек IBM Z.

Anthropic здесь выступает поставщиком модели, а IBM — каналом до клиентов, особенно в консервативных отраслях вроде банков или госсектора, где важны контроль и безопасность данных.

Это партнёрство — попытка обойти доминирование Microsoft (с OpenAI) и Google, предложив большому бизнесу альтернативу, где Anthropic отвечает за качество модели, а IBM — за интеграцию и доверие со стороны корпоративных заказчиков.

P.S. Ждём IBM среди инвесторов Anthropic, если их там ещё нет.

@anti_agi
18:53 07-10-2025
Про консультанта и пастуха

Все уже в курсе вчерашней «комедИИ»: Deloitte умудрилась сгенерировать целый официальный отчёт для австралийского правительства в ChatGPT — и, похоже, даже не удосужилась его прочитать, не то что проверить. В итоге в документе за, примерно, $440 000‼️ оказались ссылки на научные статьи, которые существовали разве что в мечтах самого ИИ. Разумеется, деньги пришлось вернуть, а репутацию — слегка подпортить.

Но пока все смеялись над «галлюцинациями», мимо почти прошла куда более значимая новость: в тот же самый день Deloitte и Anthropic объявили о масштабном партнёрстве. Теперь Claude, который, как везде напирает Anthropic, наполненный «ответственностью» и элайментом, будет обслуживать почти 500 000 сотрудников Deloitte по всему миру.

Deloitte создаст Claude Center of Excellence со специалистами, которые будут разрабатывать методологию внедрения ИИ в бизнес-процессы, а также отвечать за техподдержку. Для разных групп сотрудников также разработают отдельных агентов на базе Claude.

P.S. После каждой истории про консалтеров вспоминаю анекдот, к которому отсылка в заге.

P.S. P.S. Ждём коллаб Деловых Решений и Технологий с отечественными разработчиками ИИ.

@anti_agi
18:14 07-10-2025
Пост удален
11:13 07-10-2025
⚡️ Мы снова решили рассказать не про деньги, не про железо и даже не про ИИ — а про людей. Потому что, как оказалось, за всеми этими нейросетями, серверами и стратегиями роста всё ещё стоят… ну, вы поняли — живые люди. С эмоциями, мечтами и, иногда, с резюме в кармане.

По данным сразу четырёх собеседников @anti_agi, технический директор, вице-президент по рекламе и ИИ в VK Антон Фролов покидает компанию.

И да — он не уходит в одиночку. Часть команды, судя по всему, тоже решила, что «развитие внутри компании» — это не только про повышение KPI, но и про смену локации.

Куда, спросите вы. Дадим подсказку: 4 буквы, первая "С", последняя "р".

@anti_agi
19:06 06-10-2025
Рынок ИИ России вырос в 2024 году на 28,4% до 1,15 трлн руб. ($13,1 млрд)

Это следует из отчета «Индекс ИИ» аналитической группы МФТИ. Основными сегментами стали обработка естественного языка (61,3%), а также анализ данных (33,6%). Это обусловлено ростом выручки Яндекса, Авито и ВК.

Российский венчурный рынок начал постепенно восстанавливаться после падения 2022 года. Всего в 2024 году в ИИ проинвестировали 38 сделок на сумму $39 млн, когда как годом ранее — на $10 млн. Рост продолжился и в I полугодии 2025-го: состоялась 21 сделка на $29 млн.

Число сделок по слиянию и поглощению ИИ стартапов достигло 11-ти на сумму $33 млн против $148 млн в 2023 году. В I полугодии 2025 года состоялось 10 сделок M&A на $38 млн. Отмечается, что рынок восстанавливается, однако стоимость компаний заметно падает.

Кроме того, в 2024 году общий объем финансирования ИИ со стороны государства составил 7,6 млрд руб. Для сравнения: федеральная программа «Цифровое государственное управление» получила 78,79 млрд, а «Информационная структура» — 20,06 млрд руб. При этом с 2020 года финансирование ИИ выросло примерно в три раза, однако с 2022-го года оно перестало расти и остается постоянным — 7,6 млрд. Авторы отчета отмечают, это противоречит мировому тренду по повышение финансирования отрасли.
16:15 06-10-2025
И на улицу AMD пришел праздник

Хайп вокруг ИИ, а также подписание всяческих соглашений, до последнего времени были в основном вокруг одного производителя чипов — NVIDIA. Но теперь золотой долларовый дождь прольётся, возможно, и на их конкурента.

AMD и OpenAI объявили о стратегическом партнёрстве: OpenAI планирует развернуть до 6 гигаватт компьюта на базе ИИ-ускорителей AMD Instinct. Первый этап предусматривает развёртывание 1 гигаватта с использованием будущих AMD Instinct MI450, выход на рынок которых запланирован на вторую половину 2026 года.

🐷 Важной частью сделки стало предоставление OpenAI опциона (warrant) на покупку до 160 миллионов акций AMD, что составляет примерно 10% акционерного капитала компании. Опцион выдан по символической цене 1 цент за акцию и будет вестинговаться по мере достижения технических и коммерческих вех — от первого гигаватта мощностей до полных 6 гигаватт, а также при выполнении определённых целей по цене акций и масштабированию инфраструктуры. Такой шаг обеспечивает глубокое стратегическое выравнивание интересов обеих сторон.

AMD ожидает, что это партнёрство принесёт компании десятки миллиардов долларов годовой выручки, а общий объём доходов от OpenAI и других клиентов в результате этой сделки может превысить $100 миллиардов.

Это сотрудничество выгодно обеим сторонам. С одной стороны, укрепляет позиции AMD как одного из главных конкурентов NVIDIA на рынке ИИ-чипов. С другой, даёт OpenAI возможность диверсифицировать источники вычислительных мощностей, ускоряя разработку и развёртывание передовых ИИ-моделей для глобального использования.

@anti_agi
16:04 04-10-2025
Политику генерации видео в Sora пересмотрят из-за правообладателей

Не успели мы написать о том, какие риски несёт за собой новый продукт OpenAI, как Сэм «Зря быканул» Альтман, уже дал заднюю. Чувствуем сдающие нервы: заметка о грядущих обновлениях вышла в 4 часа утра 😁

Альтман ожидаемо пообещал ввести новые меры, чтобы правообладатели получили больше контроля над созданием персонажей и визуальных образов. Заодно OpenAI планирует ввести систему роялти — для тех, кто всё же разрешит использовать свои материалы в Sora.

«Мы получаем много отзывов от правообладателей, которые в восторге от этого нового вида "интерактивного фанфита" и считают, что такой формат взаимодействия принесёт им много пользы, но при этом хотят иметь возможность указывать, как можно использовать их персонажей (в том числе не использовать вовсе)».

При этом Альтман подчёркивает: OpenAI надо «каким-то образом зарабатывать на создании видео» — отсюда и родилась идея с системой роялти. Убивать дойную корову компания не собирается 🐷

А что касается правил... Для их формирования придётся действовать методом проб и ошибок. Мол, это похоже на первые дни существования ChatGPT. Нужно найти схему, которая устроит всех. Но кажется мне, что без очередных судов дело не обойдётся.

@anti_agi
19:08 03-10-2025
Sora на пике популярности — и это грозит OpenAI новыми иска...
Пишут, что при определённых условиях Sora может добавлять к видео даже оригинальную музыку. Про полное копирование голосов актёров и стиля анимации вообще молчу.

Ох, чувствую, Альтман ещё пожалеет о своих попытках создать целую ленту из нейрослопа.

Ну а пока — держите лучше примеры того, за что OpenAI придётся нервно оправдываться в суде.

@anti_agi
18:31 03-10-2025
Sora на пике популярности — и это грозит OpenAI новыми исками от правообладателей

Дискуссии о особенностях авторского права для нейросетей идут уже давно. Генераторы текста и медиаконтента поглощают тонны материалов под копирайтом, и потом ожидаемо выдают результаты, схожие с оригиналом. Но OpenAI с релизом Sora 2 превзошли сами себя.

Пользователи заметили, что видеогенератор может чуть ли не покадрово повторять геймплей Cyberpunk 2077 и мультсериалов вроде «Рик и Морти». И кажется, что здесь Сэм Альтман действительно выстрелил себе в ногу.

Генерации пестрят откровенными копирками известных образов. Даже в новых видео звучат мотивы из известных саундтреков к фильмам. Думается мне, что за того же Марио Nintendo не постесняется устроить OpenAI такую встряску, какой компания не видела уже давно.

И знаете, я буду на стороне правообладателей. Одно дело, учить модель на лучших образцах искусства, чтобы она создавала что-то новое. Совсем другое — поддерживать пользователей в плагиате ради брейнрот-контента. Никакой ценности такой продукт не несёт, а ущерб правообладателям наносит.

Думаю, что скоро OpenAI будет вынуждена ввести жёсткие фильтры на генерацию видео. Ну а пока приложение Sora заняло первое место в рейтинге бесплатных приложений американского App Store, опередив Google Gemini и ChatGPT.

Интересно, как скоро с таким же бардаком столкнётся проект AI-Netflix при поддержке Amazon? Ох уж эта свобода творчества.

@anti_agi
16:11 03-10-2025
💻 Huawei решили воспользоваться ситуацией

Huawei планирует нарастить выпуск своих передовых ИИ-ускорителей. В 2026 году компания намерена произвести около 600 000 флагманских ускорителей Ascend 910C, а общий выпуск кристаллов для всей линейки Ascend планируется увеличить до 1,6 миллиона штук. Основной фокус в текущих планах компании сосредоточен на модели 910C и перспективных разработках серии 950.

Американские санкции, лишившие Huawei доступа к передовым производственным мощностям TSMC, вынудили компанию переориентироваться на SMIC. Это создаёт технологические сложности, но одновременно стимулирует развитие национальной полупроводниковой отрасли.

Ситуация усугубляется ухудшением позиций NVIDIA на китайском рынке. Продажи специально разработанного для Китая чипа H20 практически прекратились, против компании инициировано антимонопольное расследование, а китайские власти рекомендуют местным IT-гигантам ограничить закупки некоторых решений NVIDIA. Образовавшийся рыночный вакуум создаёт идеальные условия для экспансии Huawei.

Технологии и дорожная карта

Huawei открыто признаёт, что её текущие чипы, включая модели 910B и 910C, по производительности на уровне одного чипа уступают флагманским продуктам NVIDIA, таким как H100. Это отставание усугубляет и отсутствие доступа к современным техпроцессам.

В ответ компания предпринимает два стратегических шага:

▪️ Впервые опубликована детальная дорожная карта развития AI-чипов до 2028 года, включающая выпуск моделей Ascend 950PR и 950DT в 2026 году, Ascend 960 в 2027 и Ascend 970 в 2028 году, с обещанием удваивать вычислительную мощность с каждым поколением.

▪️ Чтобы компенсировать отставание на уровне отдельного чипа Huawei делает ставку на масштабирование и межкристалльные соединения .

Стратегия предполагает объединение десятков тысяч чипов в кластеры с помощью собственной технологии interconnect UnifiedBus (Linggu) и архитектуры SuperPod. Компания заявляет, что системы типа Atlas 950 SuperCluster способны объединять более 500 000 чипов и по совокупной мощности могут превосходить будущие разработки NVIDIA.

@anti_agi
16:28 02-10-2025
Даже Google и Amazon ходят на поклон к Хуангу

Свободный денежный поток NVIDIA, который к 2027 году может достичь $148 млрд, превращает компанию Дженсена Хуанга в своего рода «центральный банк» ИИ-экономики. За последние месяцы NVIDIA инвестировала:

▪️ $100 млрд в OpenAI
▪️ $5 млрд в Intel
▪️ Сотни миллионов — в стартапы вроде CoreWeave и Nscale

А также начала выкупать невостребованные GPU у облачных провайдеров. Эти сделки не только стимулируют спрос на чипы Nvidia, но и формируют беспрецедентное влияние на всю ИИ-инфраструктуру.

Однако такая агрессивная стратегия вызывает тревогу не только у конкурентов.

Google и Amazon, несмотря на разработку собственных ИИ-чипов (TPU, Trainium), по-прежнему зависят от NVIDIA и вынуждены заранее информировать Хуанга о своих планах — чтобы не нарушить хрупкий баланс отношений. При этом инвестиции NVIDIA в OpenAI создают дополнительный стимул для гигантов ускорить переход на альтернативные архитектуры: ведь OpenAI планирует сдавать избыточные вычислительные мощности в аренду, напрямую конкурируя с AWS и Google Cloud.

Внутри Nvidia царит «здоровая паранойя»: руководство боится сценария, при котором прорыв в ИИ произойдёт без участия их чипов. Тем не менее, несмотря на появление альтернатив, экосистема Nvidia — от CUDA до высокоскоростных сетей — остаётся практически непреодолимым барьером для конкурентов.

Как отмечает профессор Гарварда Дэвид Йоффе:

«Если бы я был на месте Google или Amazon, я бы постарался ещё больше ускорить — сильнее, чем сейчас — свои усилия по созданию архитектуры, альтернативной Nvidia»
— но пока это легче сказать, чем сделать.

@anti_agi
13:41 02-10-2025
Дуров решил собрать весь хайп в одном месте

Telegram запустит в Казахстане ИИ-лабораторию, рассказал Павел Дуров на форуме Digital Bridge в Астане. Он отмечает, что лаборатория будет использоваться для создания технологии, которая совместит в себе блокчейн и нейросети:

«Эта технология позволит более одному миллиарду человек использовать функции ИИ, которые будут генерироваться децентрализированной компьютерной системой в частном порядке».

Основатель Telegram собирает в одном месте, кажется весь хайп. Для полноты картины, лаборатория должна будет заняться еще квантовыми чипами.

Год назад в Казахстане открылся первый региональный офис Telegram. А недавно Дуров посетил частную школу для одаренных учеников, попечителем которой он является (в прошлом году он пожертвовал $350 тыс. на обучение 12 перспективных подростков).

Ранее Дуров посещал Казахстан в июне 2024 года — тогда регулятор страны одобрил торги Toncoin на лицензированных платформах. По словам основателя Telegram, Казахстан привлекает международные компании и технологические стартапы, благодаря политике, благоприятной для бизнеса, и налогам.

#читаем_ленты_новостей_за_вас
11:52 02-10-2025
Tinker, Tailor, Soldier, Sailor

Tinker — первый (и долгожданный) продукт стартапа Миры Мурати Thinking Machines. К счастью, это не yet another LLM, а облачный API для файнтюнинга LLM.

Идея в том, что разработчики пишут код обучения, а всё «тяжёлое» — распределение ресурсов, восстановление сбоев и управление железом — берет на себя инфраструктура компании. Пользователю доступен набор низкоуровневых примитивов, из которых можно собрать собственный пайплайн.

Сейчас поддерживаются LoRA-тюны для Llama 3 (кроме 405B) и Qwen 3, причём доступны и базовые версии моделей. Согласно исследованию Thinking Machines LoRA показывает сравнимое качество с полным тюном (SFT) на небольших датасетах, при этом требуют на 30% меньше вычислений и позволяют экономить при массовом обучении. Для гурманов есть библиотека Tinker Cookbook с готовыми реализациями алгоритмов, включая RLHF, Multi-Agent или Tool Use.

Пока что API работает в приватной бете, доступ по заявкам. Первое время сервис будет бесплатным.

Следующий шаг очевиден — запуск API для инференса, чтобы обученные модели можно было сразу использовать в продакшене.

@anti_agi
21:02 01-10-2025
Цукерберг укрепляет свои полупроводниковые амбиции

Meta* приобретает стартап Rivos. Он разрабатывает серверные чипы на архитектуре RISC-V. Ключевой элемент платформы — Data Parallel Accelerator (DPA), GPGPU-ускоритель, совмещённый с CPU на одном кристалле.

💻 Rivos заявляет, что их чип оптимизирован для энергоэффективной работы с LLM и способен покрывать весь цикл — от обучения до инференса. Сделка должна снизить зависимость Meta* от NVIDIA, на чьи ускорители корпорация ежегодно тратит миллиарды долларов.

💻 Rivos был основан в 2021 году в и успел привлечь порядка $250 млн инвестиций, а его оценка доходила до $2 млрд. Команда — из бывших инженеров Intel, AMD и Google. Помимо железа, Rivos развивает программный стек для запуска ИИ-моделей в дата-центрах, а также работает над совместимостью с привычными фреймворками.

💻 Сделка с Rivos — не первая попытка Meta усилить свои разработки в области чипов. Ранее компания вела переговоры о покупке южнокорейского стартапа FuriosaAI, о котором писал выше. Однако та сделка не состоялась: FuriosaAI отклонила предложение Meta на сумму около $800 млн.

TL;DR Стоит отметить, что о значимых успехах собственных чипов Meta* — MTIA (Meta* Training and Inference Accelerator) — на рынке практически не слышно. Именно поэтому приобретение Rivos выглядит как попытка ускорить разработку конкурентоспособной ИИ-инфраструктуры и снизить зависимость от Nvidia.

@anti_agi

*признана экстремистской и запрещена в России
18:11 01-10-2025
Многополярный ИИ-мир ☣️

Видимо, не только Китай хочет преодолеть монополию NVIDIA. Южнокорейские стартапы тоже стремятся потеснить Хуанга с пьедестала, особенно в области ИИ-инференса. FuriosaAI и Rebellions стали новыми главными игроками этой гонки.

▪️ Стартап FuriosaAI представил сервер NXT RNGD для частных облаков и локальных дата-центров. Его ускоритель использует 5-нм техпроцесс TSMC. Он обеспечивает производительность на уровне 512 TFLOPS для вычислений в формате FP8. Каждая карта оснащена 48 ГБ памяти HBM3. Сервер NXT RNGD объединяет восемь таких карт. Их общий объём памяти достигает 384 ГБ. Потребление всей системы составляет около 3 кВт. 

▪️ Их конкурент, Rebellions, разработал ускоритель REBEL-Quad для масштабных задач. Чип сделан по 4-нм технологии Samsung. Он использует чиплетную архитектуру с четырьмя ASIC-ядрами. Объём памяти составляет 144 ГБ HBM3E. Rebellions уже привлекла значительные инвестиции от Arm и Samsung Ventures.

TL;DR Мы приходим к похожей на нулевые ситуации: десяток разработчиков GPU соревновались в стандартах и доле рынка. С той лишь разницей, что не было монополиста, который помогал писать весь софт 10 лет под себя. А корейцы тем временем делают ставку на энергоэффективность и низкую стоимость владения. Жаль, что мы можем только наблюдать, как рынок ИИ-ускорителей становится многополярным.

@anti_agi
17:04 01-10-2025
Smart Engines готовится выйти на рынки Ирана и Пакистана

Исследователи компании собрали отдельный датасет MIDV-UP из более чем 9 тысяч изображений c документами Пакистана и Ирана. За счёт этого удалось реализовать анализ записей на урду и персидском (фарси) — оба языка используют модифицированный арабский алфавит и отличаются сложными лигатурами.

Результаты работы представили на Международной конференции по анализу и распознаванию документов (ICDAR) в Китае. Исследование вышло в подборке Document Analysis and Recognition – ICDAR 2025 (pp.605-619).

В Smart Engines отмечают, что открыли для себя выход на рынки с совокупным населением свыше 330 млн человек. Хоть и конкретных соглашений с бизнесом пока нет. Сейчас компания также работает c партнёрами в ОАЭ, Турции, Армении, США и Казахстане.

Новые регионы хороши своей специфичностью. В странах Глобального Юга часто не хватает своих технологий и компетенций, а выход западных вендоров на них бывает затруднён. Тут-то наш бизнес и может получить новые каналы сбыта.

Исключительно внутренние разработки сложно окупить. При этом отечественные системы компьютерного зрения вполне имеют международный потенциал: вспомните кейс VisionLabs и её конкуренцию с западными исследователями на их же рынках.

Я общался с основателем VisionLabs Александром Ханиным ещё в начале 2022 года, перед известными событиями и окончательным слиянием с MTS AI. Международных амбиций тогда хватало. Кадры в VisionLabs активно привлекали через саммиты, вроде Machines Can See.

Речь в команде шла не просто о распознавании лиц, а о работе с ИИ-"железом", различной аналитикой и даже платёжными системами. С тех пор произошло много всего. Но в начале 2023 года компания вышла на рынок Индии, а этой весной отчиталась о запуске распознавания дипфейков в банках России, Казахстана, Узбекистана и Кыргызстана.

Отечественные вендоры упрямо продолжают пробивать себе дорогу на новые рынки. А мы здесь можем только пожелать им удачи. Талант не искусственный — его в бенчмарках не накрутить! 🤖

@anti_agi
12:12 01-10-2025
Компьютерное зрение помогло найти более тысячи пропавших животных в Подмосковье

Об этом рассказали в NTechLab, технологическом партнёре «Ростеха». Их сервис с конца 2024 года стал доступен на портале Госуслуг Московской области, за это время его использовали более 1,3 тысячи раз.

Алгоритм может найти питомца, сравнивая его изображения с карточками в государственной базе данных. Также можно уточнить параметры поиска по полу, возрасту, породе и окрасу, или уточнив, что у потерянного любимца был чип.

Теперь эксперимент планируют распространить на ещё один регион, но подробности пока не раскрывают. А мы заметим, что очень ждём запуска новых опций, связанных с домашними питомцами, у «Авито» — они уже работали с таким направлением вместе со студентами на летней школе AIRI.

Я бы сделал здесь ставку на распознавание породы по фото или видео. Такие сервисы в зарубежном сегменте существуют уже давно, но их интеграцию в формат классифайда я пока не припомню. А ведь датасеты и кейсы применения подобных инструментов уже есть.

@anti_agi
18:26 30-09-2025
«Сбер» открыл доступ к моделям Giga-Embeddings и Kandinsky Video Lite

Giga-Embeddings позволяет переводить информацию в векторные представления, эмбеддинги нужны для работы RAG-систем. Kandinsky Video Lite умеет генерировать короткие видео длительностью до 10 секунд. Отдельно опубликовали Flash-версию со скоростью генерации в 6 раз выше базовой.

Отмечают, что даже Lite-версия «Кандинского» обходит гораздо более громоздкие модели, такие как Wan 2.1 14B, Wan 2.2 5B и оригинальную Sora, и сравнима по визуальному качеству с моделью Wan 2.2 A14B. Ну и «особое внимание при обучении Kandinsky Video Lite было уделено пониманию отечественного культурного кода».

Giga-Embeddings и Kandinsky Video Lite уже доступны на Hugging Face (1,2). Генерация эмбеддингов доступна по лицензии MIT, работа с видео пока под Apache 2.0. Но ещё не вечер...

@anti_agi
17:44 30-09-2025
Стало скучно? Попробуйте воссоздать архитектуру трансформера в Minecraft

Видимо, с таким ходом мысли пользователь sammyuri решил запустить полноценную SLM-модель в игре. Внешние инструменты не понадобились: всю систему он воспроизвёл из обычных кубов в "ванильной" версии.

Модель CraftGPT на 5 млн параметров , запущенная в таком виде, ограничена контекстным окном в 64 токена. На создание трансформера ушло почти 440 млн блоков (!) Автор умудрился собрать конструкцию из 1020×260×1656 блоков на специально оптимизированном сервере.

То есть это не просто имитация нейросети: автор реально взял заранее подготовленные веса, загрузил их в редстоун-ROM, сделал блоки для умножений/сумм/нелинейностей — и модель работает.

На "чистой" версии игры один ответ может генерироваться до 10 лет реального времени. Но со специальной утилитой время сокращается до примерно 2 часов. Вся инструкция по сборке лежит на GitHub.

Компьютерные системы в Minecraft создают уже давно. Ну и с простыми нейросетками пользователи тоже игрались: например, с помощью свёрточной сети научили компьютер угадывать числа, написанные от руки.

Лучший коммент под видео:
imagine the existential horror of finding out you're a minecraft build

@anti_agi
12:11 30-09-2025
Вайб-воркинг — теперь и в офисе Microsoft наконец-то добав...
Забавно, что при этом мы до сих пор не увидели даже намёка на собственные офисные пакеты в ChatGPT и Grok. А ведь инсайды были. Пока на западном рынке старый вендор остаётся на пике прогресса.

У нас же ситуация интереснее. «Яндекс» постепенно добавляет ИИ-возможности в свои «Документы» и развивает агента в «Браузере». «Сбер» на днях порадовал нас генератором презентаций: теперь создавать по промту можно не только текстовые документы.

Интересно посмотреть, как сложится баланс сил на российском рынке.

@anti_agi
12:11 30-09-2025
Вайб-воркинг — теперь и в офисе

Microsoft наконец-то добавила агентский режим в Word и Excel — по запросу можно генерировать целые таблицы и документы. Форматирование и прочие нюансы оформления прилагаются. Работают агентские фичи на базе Microsoft 365 Copilot, их также раскатят на обычного чат-бота.

В Microsoft подчёркивают, что их агент can “speak Excel” natively на базе последних моделей OpenAI с ризонингом. Поэтому можно попросить бота, например, проанализировать финансовую отчётность, сопоставить разные цифры и вывести результат в виде новой таблицы или документа.

Агентский режим уже доступен в веб-версии для пользователей Microsoft 365 Copilot и обладателей личной или семейной подписки на Microsoft 365.

@anti_agi